×
Искать
1+
8
На главную
Категории
Новости
Мультфильмы
Сериалы
Фильмы
Музыка
Спорт
Телепередачи
Охота и Рыбалка
Обзоры и распаковки
Лайфстайл
Недвижимость
Здоровье
Природа
Дизайн
Техника
Бизнес
Культура
Религия
Строительство
Сад и огород
Аудиокниги
Еда
Интервью
Развлечения
Лайфхаки
Эзотерика
Наука
Политика
Психология
Аудио
Технологии
Красота
Детям
Аниме
Хобби
Видеоигры
Юмор
Обучение
Разное
Путешествия
Животные
Авто-мото
Новое время 12 июля 2016г 09:00
Видео: Новое время 12 июля 2016г 09:00
4
путешествия в Азию
Опубликовано: 03.05.2024 | Продолжительность: 00:11:11
,
#
Категория видео:
Новости и СМИ
Sort by
Top Rated
Viewed
Close
Похожее видео
Смотреть
Top Rated
Viewed
Close
Aula Hidráulica I - Noite Parte I
путешествия в Азию
2024-05-03 в 22:01:20
Смотреть
Top Rated
Viewed
Close
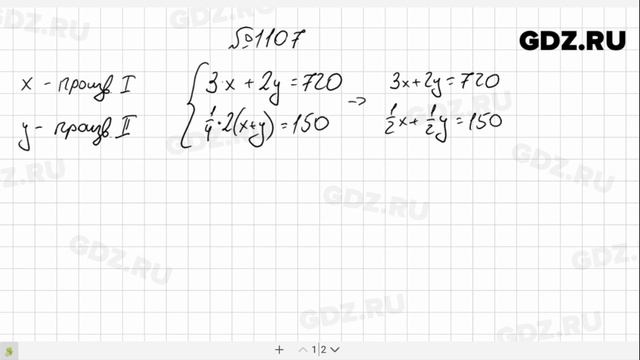
№ 1107- Алгебра 7 класс Макарычев
путешествия в Азию
2024-05-03 в 22:21:40
Смотреть
Top Rated
Viewed
Close
РЕЖИМ С БОМБОЙ В НОВОМ Shatterline
путешествия в Азию
2024-05-03 в 22:24:43
Смотреть
Top Rated
Viewed
Close
В новом сезоне уфимский ХК «Салават Юлаев» получит дополнительное финансирование
ГТРК Башкортостан
2026-04-21 в 19:49:42
Смотреть
Top Rated
Viewed
Close
В Москве наградили лучших муниципальных работников страны
Телеканал СТВ. Севастополь
2026-04-21 в 19:46:25
Смотреть
Top Rated
Viewed
Close
наш партнер купил МАШИНУ! ЭТО ПРОСТО КРУТО! АААААААААААА 13 10 14
путешествия в Азию
2024-05-03 в 21:46:58
Смотреть
Top Rated
Viewed
Close
BYD Eco Sport E2 / In-depth Walkaround
путешествия в Азию
2024-05-03 в 22:08:38
Смотреть
Top Rated
Viewed
Close
Всероссийской премией "Служение" отмечено четыре тюменских проекта
ГТРК "Регион-Тюмень"
2026-04-21 в 19:46:41
Смотреть
Top Rated
Viewed
Close
Украинский фронт - ад в Славянске и Константиновке. Ужас в Степногорске. 21.04.26
Саня во Флориде
2026-04-21 в 19:46:17
Смотреть
Top Rated
Viewed
Close
День открытых дверей прошёл в колледже «Подмосковье» в Химках // 360ХИМКИ
360 Химки
2026-04-21 в 19:39:30
Смотреть
Top Rated
Viewed
Close
Тюменцы выпустили в небо белые шары в день поминовения усопших
ГТРК "Регион-Тюмень"
2026-04-21 в 19:54:14
Смотреть
Top Rated
Viewed
Close
Европа хочет воевать с Россией, Трамп передумал мириться с Ираном, споры о Боне продолжаются
Радио Комсомольская Правда
2026-04-21 в 20:00:45
Смотреть
Top Rated
Viewed
Close
ГАПОТА ЕЩЁ ЖЕЩЕ!!! ► Stray ► Прохождения #6
путешествия в Азию
2024-05-03 в 22:11:32
Смотреть
Top Rated
Viewed
Close
The Shear Modulus For A Metal Is `50000 Mpa`. Suppose That A Shear Fore Of `200 N` Is Applied Ot...
путешествия в Азию
2024-05-03 в 21:54:26
Смотреть
Top Rated
Viewed
Close
НОВЫЙ ВЛОГ. ЦЕНЫ НА ПРОДУКТЫ В ЕС ЧЕ ПО ЧЕМ. ПАКЕТ ПРОДУКТОВ 176 ДАЮ ЦЕНЫ ПО КАЖДОЙ ПОЗИЦИИ
Zuben_co
2026-04-21 в 19:53:11
Смотреть
Top Rated
Viewed
Close
Обзор на игру Looper
путешествия в Азию
2024-05-03 в 22:16:10
Смотреть
Top Rated
Viewed
Close
Хаусбот, картинг и неистовый ветер. Погода 21 апреля. Метеострим
Телеканал 360
2026-04-21 в 19:57:57
Смотреть
Top Rated
Viewed
Close
Вы уже видели, как Боня ответила Милонову и Соловьеву?
КОРОЛЬ ГОВОРИТ!
2026-04-21 в 19:52:26
Смотреть
Top Rated
Viewed
Close
ботинки
путешествия в Азию
2024-05-03 в 22:32:45
Смотреть
Top Rated
Viewed
Close
Сотни соискателей, тысячи вакансий: в Старом Осколе прошла ярмарка трудоустройства
9 Канал Старый Оскол
2026-04-21 в 19:43:18