EWA PRODUCT Как стать успешным в компании ЭВА ПРОДАКТ

EWA PRODUCT Как стать успешным в компании ЭВА ПРОДАКТ

Видео: EWA PRODUCT Как стать успешным в компании ЭВА ПРОДАКТ

RuTube

Математические каналы и группы в социальных сетях

Опубликовано: 07.11.2024 | Продолжительность: 00:05:07

Как стать успешным в компании ЭВА ПРОДАКТ ? - ответ от создателя и руководителя компании Виталия Коваля . Более полную информацию о компании Вы найдете в телеграмм боте Ссылка для покупки продуктов на сайте компании EWA PRODUCT Ссылка для регистрации клиентом EWA PRODUCT : Cсылка для регистрации Партнером в EWA Product Группа в ВК по продуктам компании EWA Product Мой контакт для связи в Телеграм - vau63 Эва Продакт - молодая амбициозная компания созданная в 2022 году командой опытных МЛМ предпринимателей. У нас абсолютно новая инновационная система вознаграждения которая позволит каждому партнеру уже с первых шагов почувствовать прелести и преимущества сетевого бизнеса. Мы создали специальные программы лояльности для поддержки как молодых так и опытных МЛМ предпринимателей. С самого старта EWAProduct стала международной компанией открыв возможности нашего бизнеса для России и стран СНГ. В наших ближайших планах серьезно заявить о себе в странах Евросоюза и Азиатского региона. Мы используем прогрессивный биохакинг для создания инновационных продуктов способных сделать каждого человека более эффективным и успешным повысить когнитивные функции мозга качественно усилить возможности всего организма. Компания EWA PRODUCT в сотрудничестве с лабораторией биоинжиниринга активно внедряет научные открытия и передовые технологии создает инновационные продукты с доказанной эффективностью для полноценной и качественной жизни. EwaProduct ЭваПродакт,

#Ewaproduct #Эвапродакт

Категория видео: Разное

С Новым годом!
Смотреть
Турклуб СВОБОДА
  2026-04-21 в 09:39:41
60. Moments And Center Of Mass - Part 7 - Theorem Of Pappus
Смотреть
Математические каналы и группы в социальных сетях
  2025-01-28 в 06:53:31
1030.mp4
Смотреть
6одю
  2026-04-21 в 09:40:33
[KPOP IN PUBLIC] ENHYPEN (엔하이픈) 'Let Me In (20 CUBE) [Dance Cover] | Covered By HipeVisioN
Смотреть
Математические каналы и группы в социальных сетях
  2025-01-26 в 11:10:19
Сильно изменились?
Смотреть
Ксюша про детей, собак и стройку
  2026-04-21 в 09:53:54
GameCoube#1 || Лучшие кубы игр
Смотреть
Математические каналы и группы в социальных сетях
  2025-01-21 в 12:42:05
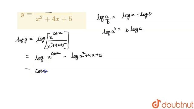
`y=(x^(cosx))/(x^(2)+4x+5)`
Смотреть
Математические каналы и группы в социальных сетях
  2025-01-26 в 10:59:24
Nota Avaliadas Em 1500 Reais Cada Unidade.
Смотреть
Математические каналы и группы в социальных сетях
  2025-01-26 в 11:45:15
Ағылшын тілі 54 бет аудармасыменен!
Смотреть
Математические каналы и группы в социальных сетях
  2025-01-26 в 12:12:46
как рекрутировать в 2026
Смотреть
Трафик Сетевого предпринимателя
  2026-04-21 в 09:37:16
1000007301.mp4
Смотреть
Людмила Попова
  2026-04-21 в 09:26:20
Pythagorean Theorem Part II
Смотреть
Математические каналы и группы в социальных сетях
  2025-01-28 в 06:59:17
Уличный руджак
Смотреть
Natalie Gayatri
  2026-04-21 в 09:36:58
Как создать свой сервер в блок страйке?
Смотреть
Математические каналы и группы в социальных сетях
  2025-01-26 в 11:05:16
70)П РОЗА ХУТОР
Смотреть
Татьяна ЛАЙФ
  2026-04-21 в 09:30:14
Как увеличить доход с AdSense в 2 раза для сайта New 4
Смотреть
Математические каналы и группы в социальных сетях
  2025-01-26 в 11:50:37
Пикирую томаты🍅
Смотреть
Channel76853450Ольга В.
  2026-04-21 в 09:48:46