×
Искать
1+
8
На главную
Категории
Новости
Мультфильмы
Сериалы
Фильмы
Музыка
Спорт
Телепередачи
Охота и Рыбалка
Обзоры и распаковки
Лайфстайл
Недвижимость
Здоровье
Природа
Дизайн
Техника
Бизнес
Культура
Религия
Строительство
Сад и огород
Аудиокниги
Еда
Интервью
Развлечения
Лайфхаки
Эзотерика
Наука
Политика
Психология
Аудио
Технологии
Красота
Детям
Аниме
Хобби
Видеоигры
Юмор
Обучение
Разное
Путешествия
Животные
Авто-мото
Жёсткий массаж коту Мартину от робота.
Видео: Жёсткий массаж коту Мартину от робота.
0
Мастер-техникум
Опубликовано: 12.05.2025 | Продолжительность: 00:00:15
Жёсткий массаж коту Мартину от робота.,
#
Категория видео:
Видеоигры
Sort by
Top Rated
Viewed
Close
Похожее видео
Смотреть
Top Rated
Viewed
Close
25 гифок о том, как работает всё на свете Интересные фа
Мастер-техникум
2025-05-12 в 06:22:52
Смотреть
Top Rated
Viewed
Close
Чисто водички попить - #мемы #юмор #приколы #мемасы #мем?
Мастер-техникум
2025-05-12 в 06:16:50
Смотреть
Top Rated
Viewed
Close
чёколадка
Kostid 64
2026-04-21 в 19:55:51
Смотреть
Top Rated
Viewed
Close
МАИШИЙ ТЕХНИКАЛАРДА 1+14 АКЦИЯ ВА 50%АКЦИЯ!
Мастер-техникум
2025-06-04 в 19:20:54
Смотреть
Top Rated
Viewed
Close
Так рост измерять НЕЛЬЗЯ #катяче #шитье
Мастер-техникум
2025-05-12 в 06:26:10
Смотреть
Top Rated
Viewed
Close
Как отстирать пятна от машинного масла
Мастер-техникум
2025-05-12 в 06:25:07
Смотреть
Top Rated
Viewed
Close
Кратко о том как я играю в бедварс.
Даня Играет
2026-04-21 в 19:57:28
Смотреть
Top Rated
Viewed
Close
Акинатор
Соня И Ксюша бабл Гам
2026-04-21 в 20:04:19
Смотреть
Top Rated
Viewed
Close
стрим от Мелвата
П3
2026-04-21 в 20:02:23
Смотреть
Top Rated
Viewed
Close
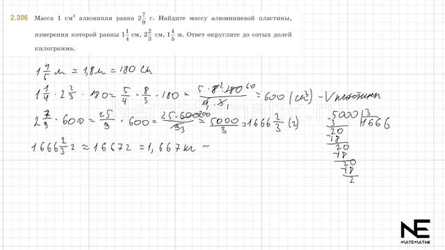
Задание №2.302 - 2. 312 Математика 6 класс.1 часть. ГДЗ. Виле?
Мастер-техникум
2025-05-12 в 06:23:53
Смотреть
Top Rated
Viewed
Close
Часы и календарь весит на стене в комнате 81.
Мастер-техникум
2025-05-12 в 06:23:31
Смотреть
Top Rated
Viewed
Close
Смотреть со ЗВУКОМ 😂 #alexartchannel
Мастер-техникум
2025-05-12 в 06:20:11
Смотреть
Top Rated
Viewed
Close
дрыц дрыц холодильник
Мастер-техникум
2025-05-12 в 06:29:36
Смотреть
Top Rated
Viewed
Close
Не Храните Эти 10 Продуктов в Холодильнике – Узнайте П?
Мастер-техникум
2025-05-12 в 06:17:02
Смотреть
Top Rated
Viewed
Close
жб
Channel72865600
2026-04-21 в 19:58:30
Смотреть
Top Rated
Viewed
Close
MOUSE P.I For Hire (Новый мультяшный шутер) Прохождение #3
ИгроЧилл_Only
2026-04-21 в 20:02:03
Смотреть
Top Rated
Viewed
Close
Кофемашина Melitta Passione OT . Готовим Капучино с двойным эс?
Мастер-техникум
2025-06-04 в 19:21:32
Смотреть
Top Rated
Viewed
Close
Какой раскройный нож лучше выбрать: вертикальный или ?
Мастер-техникум
2025-05-12 в 06:25:29
Смотреть
Top Rated
Viewed
Close
Как вышивать на бытовой швейной машинке.
Мастер-техникум
2025-05-12 в 06:19:51
Смотреть
Top Rated
Viewed
Close
ЧЕЛОВЕК ПАУК 2 - SPIDER MAN 2 MARVEL 🕸️🕷️
Человек-паук
2026-04-21 в 20:01:43