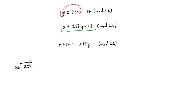
Example: Decrypting an Affine Cipher

Example: Decrypting an Affine Cipher

Видео: Example: Decrypting an Affine Cipher

RuTube

Уроки Java и Visual Studio для начинающих

Опубликовано: 05.12.2023 | Продолжительность: 00:03:37

Justin works through the process of finding the decryption function of a given affine cipher.,

#

Категория видео: Обучение

Working With Pointers In C/C++ (for Absolute Beginners) | In Hindi
Смотреть
Уроки Java и Visual Studio для начинающих
  2024-05-02 в 15:54:15
Laravel 9 Project #48 | Backend Add Multi Image In About Page Part 2
Смотреть
Уроки Java и Visual Studio для начинающих
  2024-05-03 в 20:28:12
Пробник по Тарифам — 17
Смотреть
Алина Хуснутдинова Математика ОГЭ
  2026-04-19 в 15:57:31
СОКОБАН   10, 11 и 12 уровни   Программирование На Платформе Учи ру
Смотреть
SpiderProject (Спайдер Проджект), как замена Microsoft Project
Смотреть
Уроки Java и Visual Studio для начинающих
  2024-05-02 в 09:36:58
Исходный код / Source Code (2011)
Смотреть
Уроки Java и Visual Studio для начинающих
  2024-05-06 в 06:23:28
Как выполнять задания на чемпионате «Юный Кулибин»
Смотреть
Уроки Java и Visual Studio для начинающих
  2024-05-03 в 13:47:19
Пробник по Тарифам — 13
Смотреть
Алина Хуснутдинова Математика ОГЭ
  2026-04-19 в 15:56:55
Пробник по Тарифам — 15
Смотреть
Алина Хуснутдинова Математика ОГЭ
  2026-04-19 в 15:57:14
IMG_8939
Смотреть
Маргарита Щербак
  2026-04-19 в 15:43:20
как создать простой браузер на C
Смотреть
Уроки Java и Visual Studio для начинающих
  2024-05-04 в 11:48:28
WireShark Полный курс Часть-1 #wireshark #анализтрафика
Смотреть
Уроки Java и Visual Studio для начинающих
  2024-10-11 в 09:18:02
Курс SQL S 0 от Аристова Евгения. 04 лекция. SEQUENCE
Смотреть
Уроки Java и Visual Studio для начинающих
  2024-11-14 в 08:04:51
🔶Задачи бывают разные
Смотреть
Школа успешного родительства
  2026-04-19 в 15:37:48
Пробник по Тарифам — 16
Смотреть
Алина Хуснутдинова Математика ОГЭ
  2026-04-19 в 15:57:23
Пробник по Тарифам — 11
Смотреть
Алина Хуснутдинова Математика ОГЭ
  2026-04-19 в 15:56:31
Восточные танцы с Лилией Запашной 20.4 19:00
Смотреть