×
Искать
1+
8
На главную
Категории
Новости
Мультфильмы
Сериалы
Фильмы
Музыка
Спорт
Телепередачи
Охота и Рыбалка
Обзоры и распаковки
Лайфстайл
Недвижимость
Здоровье
Природа
Дизайн
Техника
Бизнес
Культура
Религия
Строительство
Сад и огород
Аудиокниги
Еда
Интервью
Развлечения
Лайфхаки
Эзотерика
Наука
Политика
Психология
Аудио
Технологии
Красота
Детям
Аниме
Хобби
Видеоигры
Юмор
Обучение
Разное
Путешествия
Животные
Авто-мото
ИЖ Юпитер 5 в ГОРОДЕ
Видео: ИЖ Юпитер 5 в ГОРОДЕ
563
Математика в действии
Опубликовано: 28.12.2023 | Продолжительность: 00:06:28
юпитер иж,
#Иж
#Юпитер
Категория видео:
Авто-мото
Sort by
Top Rated
Viewed
Close
Похожее видео
Смотреть
Top Rated
Viewed
Close
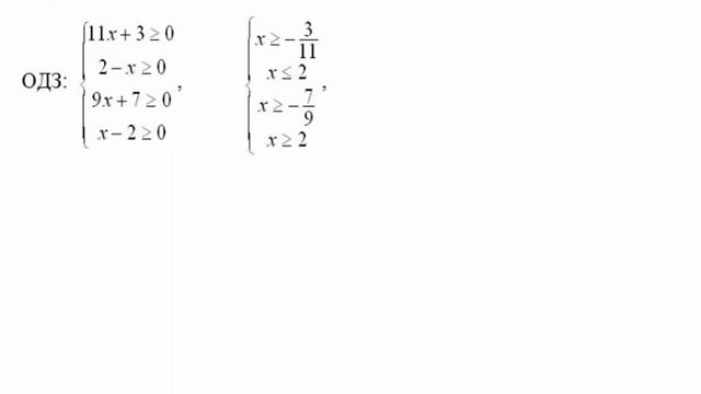
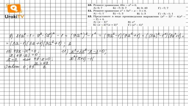
Задание №9-12 Задание «Проверьте себя» №5 - ГДЗ по алгебре 7 класс (Мерзляк А.Г.)
Математика в действии
2024-01-11 в 18:25:01
Смотреть
Top Rated
Viewed
Close
2023 сентябрь 5 число полицейские получат распоряжение через прокуратуру
Математика в действии
2024-01-11 в 18:47:33
Смотреть
Top Rated
Viewed
Close
Втулки инжекторов (резиновые) 10шт, AiS-G004mf, MAZDA 8574-13-252,.mp4
Laboratory AiS
2026-04-18 в 04:36:01
Смотреть
Top Rated
Viewed
Close
Ружье ТОЗ-63.Нужен ли контейнер для стрельбы дробью? Часть № 2
Математика в действии
2024-01-11 в 18:23:18
Смотреть
Top Rated
Viewed
Close
TLC 100
Амур Моторс
2026-04-18 в 05:00:03
Смотреть
Top Rated
Viewed
Close
Honda Accord (CV)
The Power Of Dreams.Honda_inspire_accord_acura
2026-04-18 в 04:56:35
Смотреть
Top Rated
Viewed
Close
БЛОК ДИЗЕЛЬ МОТОРА
🔥Китайский-Машина 🔥
2026-04-18 в 04:54:59
Смотреть
Top Rated
Viewed
Close
Ревматолог спас мою Бабушку: Чтобы победить артрит, нужно знать это!
Математика в действии
2024-01-11 в 18:28:25
Смотреть
Top Rated
Viewed
Close
Прокладки инжекторов, 10шт, AiS-G036n, NISSAN 24260-4A0A0,.mp4
Laboratory AiS
2026-04-18 в 04:34:38
Смотреть
Top Rated
Viewed
Close
Сколько едениц содержит число
Математика в действии
2024-01-11 в 18:37:09
Смотреть
Top Rated
Viewed
Close
№ 693 - Математика 6 класс Зубарева
Математика в действии
2024-01-11 в 18:28:44
Смотреть
Top Rated
Viewed
Close
ломаем шаблон за час.лучшая тачка синдиката
Збс Мастерская Синдиката(Дубровский Синдикат)
2026-04-18 в 05:32:57
Смотреть
Top Rated
Viewed
Close
Подпишись и учись??@matematik_andreiСтавьте +, если поняли как умножать дроби??
Математика в действии
2024-01-11 в 18:25:26
Смотреть
Top Rated
Viewed
Close
№3 Иррациональные уравнения. Стандартная задача. Решите и проверьте решение. ЕГЭ по математике.
Математика в действии
2024-01-11 в 18:42:15
Смотреть
Top Rated
Viewed
Close
1000010014.mp4
Shipman
2026-04-18 в 05:37:35
Смотреть
Top Rated
Viewed
Close
Математика 6 класс Мерзляк, Полонский УПР 833
Математика в действии
2024-01-11 в 18:36:14
Смотреть
Top Rated
Viewed
Close
Прокладки инжекторов, 10шт, (Type-1) AiS-G006mf, MAZDA 8574-13-257,.mp4
Laboratory AiS
2026-04-18 в 04:35:00
Смотреть
Top Rated
Viewed
Close
44-Dars. Arifmetik Progressiyaning Dastlabki N Ta Hadi Yig'indisi
Математика в действии
2024-01-11 в 18:39:49
Смотреть
Top Rated
Viewed
Close
СКОЛЬКО Я ПОТРАТИЛ на Audi за $1000… ФИНАЛ
Артур Автообзор
2026-04-18 в 02:57:47
Смотреть
Top Rated
Viewed
Close
Harley Davidson Sportster XL1200 Custom
DenMoto
2026-04-18 в 03:00:25