Урок 2. Среда GeoGebra и ее установка

Урок 2. Среда GeoGebra и ее установка

Видео: Урок 2. Среда GeoGebra и ее установка

RuTube

Геометрический Фантастик

Опубликовано: 28.12.2023 | Продолжительность: 00:03:29

Второй ролик курса Подготовка к ЕГЭ с GeoGebra. Из данного видео вы подробнее узнаете про окружение GeoGebra в частности версии для сайта и компьютера а также про преимущества при создании аккаунта и открытую базу проектов. Скачать GeoGebra: Почта для вопросов и предложений: easygebramathgmail.com,

#

Категория видео: Обучение

Петухова Галина Николаевна
Смотреть
Карельский институт развития образования
  2026-04-21 в 13:23:12
Xth Class Alignment Of Text In Open Office Writer
Смотреть
Геометрический Фантастик
  2024-01-11 в 18:45:58
`x^(2)-10x+24`
Смотреть
Геометрический Фантастик
  2024-01-11 в 18:39:02
85 лет назад принят генеральный план развития города
Смотреть
Россия — Моя история | Тверская область
  2026-04-21 в 13:30:05
Задача на скорость. Номер 200 Математика 6 класс
Смотреть
ОГЭ - 2022. И. В. Ященко. 50 вариантов. 20 задание, 28 вариант.
Смотреть
Video1709125612
Смотреть
Карина Арзуманова.
  2026-04-21 в 13:22:57
Роторная дробилка Komatsu BR250RG кубовидный камень
Смотреть
Задание № 865 - Алгебра 7 класс (Макарычев)
Смотреть
Геометрический Фантастик
  2024-01-11 в 18:26:09
Уравнение с пятью модулями - это жесть!
Смотреть
Геометрический Фантастик
  2024-01-11 в 18:48:41
UNLOCK ULTRA SETTINGS USING GAME TURBO FREE APK NEW UPDATE•LEX PLAYS MLBB
Смотреть
Геометрический Фантастик
  2024-01-11 в 18:52:15
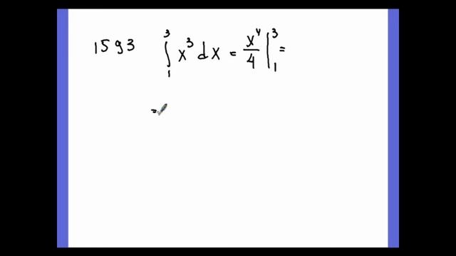
1593. Определённый интеграл
Смотреть
Геометрический Фантастик
  2024-01-11 в 18:34:47
№ 981- Математика 5 класс Виленкин
Смотреть
Геометрический Фантастик
  2024-01-11 в 18:37:37
Denton High School Drumline 2014 @HEB
Смотреть
Геометрический Фантастик
  2024-01-11 в 18:39:03