Дисциплина: Охрана воздушного бассейна, видеолекция 4

Дисциплина: Охрана воздушного бассейна, видеолекция 4

Видео: Дисциплина: Охрана воздушного бассейна, видеолекция 4

RuTube

ArtisticSkinGallerySpotlight

Опубликовано: 04.11.2023 | Продолжительность: 00:12:02

Дисциплина: Охрана воздушного бассейна Магистр естественных наук Капбасова Г.А. Кафедра ЭБЖиЗОС Кокшетауский университет имени Абая Мырзахметова,

#

Категория видео: Обучение

U02_ap
Смотреть
Are You A Polyglot? Ты полиглот?
  2026-04-18 в 12:20:37
1 в кс 2
Смотреть
Channel66482762
  2026-04-18 в 12:30:45
U02_at
Смотреть
Are You A Polyglot? Ты полиглот?
  2026-04-18 в 12:20:56
Как стать донором крови в Пинске?
Смотреть
Обязанности по содержанию и хранению предмета залога
Смотреть
Юридические подсказки Владимира Ткаченко
  2026-04-18 в 12:31:32
СП Круглая кокетка, второе изделие. Все ссылки внизу под видео.
Смотреть
Галина, вязание петелька за петелькой.
  2026-04-18 в 12:20:34
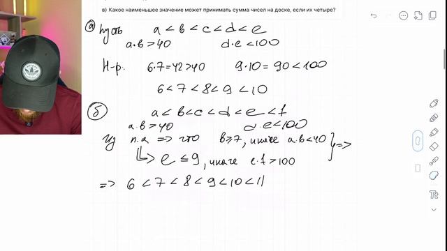
На доске написано несколько различных натуральных чисел
Смотреть
Обзор машинки  от Vlad Blad  Seawolf Rotary Machine Hybrid
Смотреть
Татуировка в виде таксы
Смотреть
ArtisticSkinGallerySpotlight
  2023-11-04 в 20:14:31
Vlog. Чуть не сбила машина. Катание на бмх
Смотреть