AQA GCSE Maths Foundation 8300 : Practice Set 2 Paper 3

AQA GCSE Maths Foundation 8300 : Practice Set 2 Paper 3

Видео: AQA GCSE Maths Foundation 8300 : Practice Set 2 Paper 3

RuTube

Геометрия и эстетика

Опубликовано: 11.01.2024 | Продолжительность: 01:49:54

A run-through of AQAs GCSE Maths Foundation Paper 3 from Set 2 of the practice paper releases. Click on the hyperlinks in this description below to skip straight to individual questions. If youre watching on a mobile device you may need to click the hyperlinks Ive attached in the video comments. aqa maths gcsemaths Introduction: 0:00 Question 1 fraction decimal percentage equivalents: 0:25 Question 2 comparing positive and negative numbers: 3:51 Question 3 describing an expression: 5:45 Question 4 completing a bank statement: 6:32 Question 5 values on cardsarithmetic with negatives: 9:30 Question 6 factorsprimesspinner probability: 11:58 Question 7 junctionsfractions of amounts: 17:43 Question 8 coordinates of rectangletypes of triangle: 20:11 Question 9 fractions of amounts: 27:17 Question 10 calculate the mystery number puzzle: 30:31 Question 11 scale of a mapcmkm conversion: 34:30 Question 12 sequences: 39:53 Question 13 finding mistakes in a straight line graph: 43:33 Question 14 area of ¼ circle: 46:16 Question 15 simple interest: 50:39 Question 16 area of shape made from 15 rectangles: 53:28 Question 17 difference of 2 squaressolve equation: 1:03:03 Question 18 angle lawsproperties of parallelograms: 1:08:27 Question 19 error intervals: 1:17:45 Question 20 trigonometrysimilar triangles: 1:20:29 Question 21 gradient and y-intercept from ymxc: 1:24:05 Question 22 reverse mean: 1:25:42 Question 23 probability space: 1:30:03 Question 24 substituting into a formulapercentage: 1:33:14 Question 25 contextual simultaneous equations: 1:38:27 Question 26 percentages of amounts: 1:45:06,

#Aqa #Gcsemaths #Maths

Категория видео: Обучение

коварные ошибки в ЕГЭ
Смотреть
Английский со Светланой Суворовой
  2026-04-21 в 01:33:30
WOW! IPhone 1000fps Slow Motion
Смотреть
AI Age Transform In DaVinci Resolve
Смотреть
Охота на боровую дичь, на лунках
Смотреть
Геометрия и эстетика
  2024-01-11 в 18:40:39
преза лаба11
Смотреть
Idontcare
  2026-04-21 в 01:44:58
на удивление вкусно по-английски
Смотреть
Английский со Светланой Суворовой
  2026-04-21 в 01:34:51
отчет лаба11
Смотреть
Idontcare
  2026-04-21 в 01:43:23
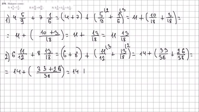
Математика 6 класс Мерзляк, Полонский УПР 275
Смотреть
14. Creating The Soft Stop From Run Transitions
Смотреть
Out Of Sight Out Of Mind по-английски
Смотреть
Английский со Светланой Суворовой
  2026-04-21 в 01:35:11
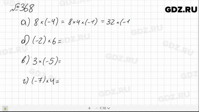
№ 368 - Математика 6 класс Зубарева
Смотреть
Геометрия и эстетика
  2024-01-11 в 18:33:25
43. Avalonia UI Real World (Error Handling UI)
Смотреть
Ленинский Букварь
  2026-04-21 в 01:48:30
Math Didaktika F6 118
Смотреть
Геометрия и эстетика
  2024-01-11 в 18:36:59
Мц 21  12    100 метров патрон 24 гр  Главпатрон спорт
Смотреть
Открой приложение математику
Смотреть
Геометрия и эстетика
  2024-01-11 в 18:47:32
Золотая середина в запятых | Русский язык ЕГЭ | 2026 | Маяк
Смотреть