17.42 Алгебра 7 класс Мордкович

17.42 Алгебра 7 класс Мордкович

Видео: 17.42 Алгебра 7 класс Мордкович

RuTube

Векторные приключения

Опубликовано: 28.01.2025 | Продолжительность: 00:06:34

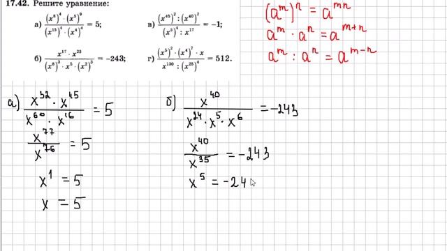
Разбор номера 17.42 из учебника Алгебра. 7 класс Мордкович. Сложное уравнение в котором нужно использовать свойства степени.,

#

Категория видео: Лайфстайл

Кристина Курт | фотосессия с медведем
Смотреть
Кристина Курт Современная Муза
  2026-04-19 в 18:10:12
DHG 240 Herpes Simplex Virus Project
Смотреть
Векторные приключения
  2025-01-26 в 10:30:38
Both
Смотреть
Векторные приключения
  2025-01-26 в 11:42:08
Как произносится  # Les Mureaux
Смотреть
Векторные приключения
  2025-01-26 в 11:02:12
мечтаю и думаю о деревне
Смотреть
Счастье в деревне
  2026-04-19 в 18:12:48
Прячьтесь в высокой траве 10 сек
Смотреть
Векторные приключения
  2025-01-26 в 11:52:54
1000409068.mp4
Смотреть
Максим Просто так Видосы
  2026-04-19 в 18:01:29
Спорт в каждый дом.
Смотреть
Наталья Мальцева
  2026-04-19 в 18:02:55
а что в конце 😱😱😱😱
Смотреть
Мия Райская 🥳❤️🏳️🌈
  2026-04-19 в 18:14:12
монтаж воскресный
Смотреть
Sfera Di Luce/Ufo/Ovni UTA (CA) - 9 Agosto 2011, Ore 22:13
Смотреть
Векторные приключения
  2025-01-26 в 11:47:33
AP Calculus AB Practice Exam - Multiple Choice Problem 05
Смотреть
Векторные приключения
  2025-01-26 в 11:36:31
KNACK™2: Gameplay German PS4| 2-4 DAS HOCHLAND [Der Vergessene Ort]
Смотреть
Векторные приключения
  2025-01-26 в 12:16:00
Hope & Glory - Skinheads
Смотреть
Векторные приключения
  2025-01-26 в 11:18:56
СТРИМ ПО GEOMETRY DASH!!! REQ ON)))
Смотреть
Векторные приключения
  2025-01-26 в 12:04:46
Радислав Гандапас
Смотреть