Steven Levy Talks about Hackers Heroes of the Computer Revolution - 25th Anniversary Edition

Steven Levy Talks about Hackers Heroes of the Computer Revolution - 25th Anniversary Edition

Видео: Steven Levy Talks about Hackers Heroes of the Computer Revolution - 25th Anniversary Edition

RuTube

JS Для Новичков: Видеоуроки

Опубликовано: 04.12.2023 | Продолжительность: 00:27:35

Dale Dougherty editor and publisher of MAKE magazine interviews Steven Levy senior writer for Wired Magazine about Hackers Heroes of the Computer Revolution - 25th Anniversary Edition. Levys classic book about the original hackers of the computer revolution is now available in a special 25th anniversary edition with updated material from noteworthy hackers such as Bill Gates Mark Zuckerberg Richard Stallman and Steve Wozniak. Hackers traces the exploits of innovators from the research labs in the late 1950s to the rise of the home computer in the mid-1980s. Its a fascinating story for everyone interested in this seminal period in history. ,

#

Категория видео: Технологии и интернет

Curso Git - SourceTree | Que Es Y Como Descartar Cambios En SourceTree
Смотреть
JS Для Новичков: Видеоуроки
  2023-12-04 в 17:24:02
Pragmata | RX 580, RX 570, GTX 1650, GTX 1060, GTX 1050 Ti | 1080p | FSR 3, FG
Смотреть
IPhone SE Sim Card Guideline
Смотреть
Using Vulkan For Mobile VR
Смотреть
JS Для Новичков: Видеоуроки
  2023-12-04 в 18:18:57
Our Greek Cat Rescue Shelter Tour! ??
Смотреть
JS Для Новичков: Видеоуроки
  2023-12-04 в 18:40:47
Godot 3.1 Tutorial | Custom Modules For Android (Inspired From Godot Docs)
Смотреть
JS Для Новичков: Видеоуроки
  2023-12-04 в 17:58:09
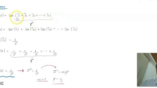
Distribución Erlang K
Смотреть
JS Для Новичков: Видеоуроки
  2024-01-04 в 13:03:07
OS MAX FP 40 -  Strip, Clean & Run - Early 1990's Glow Engine
Смотреть
JS Для Новичков: Видеоуроки
  2023-12-04 в 17:36:10
Mitch Jones More Fortnite [VOD: Apr 6, 2018]
Смотреть
JS Для Новичков: Видеоуроки
  2023-12-04 в 17:47:02
БОНЯ Vs СОЛОВЬЁВ, ЛЕБЕДЕВ, МИЛОНОВ.
Смотреть