Видео: 3y

Подборка новых видео на тему 3y на сегодня 22 April 2026 года

Ремонт газовых котлов Baxi и Navien
  09.12.2023
Замена и ремонт Toyota Corolla/Camry
  27.09.2023
Канал звездного волнения
  04.02.2025
Ремонт с характером: Идеи, которые отражают вашу индивидуальность
  20.12.2023
Мастерство уборки и порядка
  17.11.2023
Делай сам с помощью мастеров
  26.01.2024

3

channel47249167
  28.10.2024
Строительные Инструменты: Ключи от Успеха
  26.01.2024
Юморные приколы на дороге
  27.01.2024
Инструменты Прогресса: Основы Ремонта и Строительства
  26.01.2024
Геометрия: основы и применение
  28.12.2023
RUTUBE. Лучшее
  19.09.2025
Важные детали
  27.01.2024
Интерьерные новости: свежие тренды и горячие темы
  19.12.2023
Functional Fiascos
  13.01.2025
ТехноПрактика
  03.02.2024
Уникальные строительные инструменты для профессионалов
  26.01.2024
Творческая Перестройка: Ремонтные Инсайты
  19.12.2023
Мир минивэнов
  27.01.2024
Минивэн кухня
  27.01.2024
Геометрический Эксперт
  11.01.2024
Вопрос ответ какой
  23.04.2024
Геометрия и экономика
  11.01.2024
Математические Музыканты
  11.12.2024

3

ai-videopro
  27.08.2024
Гео-Магия: волшебство форм и линий
  11.01.2024
Фильмач — фильмы и сериалы онлайн
  09.11.2023
Тень: Тайные миры
  04.02.2025
Минивэн: элитный уровень комфорта
  27.01.2024
Все о строительных инструментах
  26.01.2024
Минивэнский адреналин
  27.01.2024
Фильмач — фильмы и сериалы онлайн
  27.06.2024
НТВ
  20.12.2025
Математический мастеркласс
  11.01.2024
Минивэнская жизнь
  28.01.2024
Удобство на дороге с минивэном
  27.01.2024
Под капотом с Профессионалами
  01.10.2023
Минивэны в фокусе
  27.01.2024
𝐃𝐚𝐫𝐳𝐢𝐤
  03.09.2025
Чудеса космоса
  03.04.2024
Телеканал ТНТ
  05.10.2025
Изабелла Михайловна
  18.05.2025
Тех автомир
  27.01.2024
Тригонометрические тайны
  21.01.2025
Джава для всех возрастов и уровней сложности
  05.12.2023
Математический лорд
  21.01.2025
Тригонометрический танец
  14.01.2025
Числовые рецепты
  14.01.2025

3D

channel25992376
  16.04.2022
Путешествие на Марс
  04.02.2025
Отопление на практике
  09.12.2023
Inspiring Insights
  21.04.2024
Быстрота и точность: мгновенные ремонтные операции
  20.12.2023
Делай То, Что Приносит Результат
  15.09.2023
Минивэны и трансформация
  28.01.2024
Геометрия для аналитических умов
  11.01.2024
Минивэн ретро
  27.01.2024
Математика Валерий Волков
  31.08.2024
Руководство к Креативному Искусству
  24.09.2023
Простая математика: ключевые принципы
  11.01.2024
Сделай Сам для Души
  08.09.2023
Фильмач — фильмы и сериалы онлайн
  19.09.2024

3y - смотрите онлайн


Не работает дифференциальное реле на котле Buderus Logamax U072. Что делать когда горит ошибка 3Y.

Что делать, если в настенном газовом котле Будерус загорелась ошибка 3Y? В предыдущем видео я рассказывал о коде ошибки 3C, которая свидетельствовала о неисправности маностата. В случае появления на дисплее настенных газовых котлов Будерус Логамакс У 072 мощностью 12, 18, 24, 28 и 35 кВт кода ошибки 3Y есть что-то похожее, но в этом случае она сигнализирует только о том, что дифференциальное реле давления не открывается при отключенном вентиляторе. Причиной неисправности маностата, во-первых, могло послужить образование конденсата в трубках, подключенных к нему. Следствием чего может быть неправильно собранный дымоход. Обязательно сверьте параметры в меню котла частоты вращения вентилятора в зависимости от длины дымохода и убедитесь... Смотреть видео...

Снятие и установка термостата на Toyota Lite Ace. Кузов YR30. Двигатель 3Y-EU.

УВАЖАЕМЫЕ БАСОВОДЫ,УБЕДИТЕЛЬНАЯ ПРОСЬБА ПРИ ПРОСМОТРЕ ДАННОГО РОЛИКА УБРАТЬ ОТ ЭКРАНА ДЕТЕЙ ВВИДУ НАЛИЧИЯ МНОЖЕСТВА"РОДНЫХ" СЛОВ!!! После капиталки движка начала стрелка температуры переваливать середину,но до красной зоны не доходила. Начал грешить на радиатор. Снял ,промыл на всякий случай. Шняги было мало.Стрелки перевелись на термостат. Хотя поставил новый на 88 градусов,брал у проверенного продавца.Проверить поленился. Снял этого гада,закинул в кипяток-реакции ноль. Приобрел новый .По нашему каталогу идёт на 82 градуса. Термостат-MASUMA . Маркировка-WV 488-82. Каталожный номер-90916-03046. Когда снимал и ставил из культурного было в и на. Заготовки большие,подлазить неудобно. Туда бы женские ручки...Стоит под ГУРом.Крепится на двух... Смотреть видео...

Распаковка и подготовка к работе анализаторов влажности RADWAG серия 3Y (Польша)

В этом видео познакомимся с анализаторами влагосодержания самой продвинутой серии 3Y компании RADWAG: распаковка, комплектация и первичная подготовка прибора к работе после его распаковки. Особенности серии RADWAG ххх.3Y: · Сенсорный дисплей 5.7” · Интерактивное меню · Беспроводное соединение · Система регулирования и настройки сушильной камеры (надлежащая медицинская практика, GMP) · Соответствие нормативным требованиям (система надлежащей лабораторной практики, GLP) · Базы данных (продукты, взвешивания, клиенты, программы сушки, протоколы сушки, контрольные и статистические данные для протоколов сушки). · Динамический контроль массы образца (гистограмма) · Оптимизация параметров сушки (анализ) · Визуализация процесса сушки... Смотреть видео...

How To Graph The Linear Equation 2x - 3y = 6

In this video we'll draw the graph for 2x - 3y = 6. First, we will use a table of values to plot points on the graph. Once we have two or three points, we can draw our line for the linear equation. You can choose any values of x for your table, however, 0, 1, and -1 are often best since they result in point that will fit on your graph paper. It we rearrange the equation to y = 2/3x - 2 we can also use the slope intercept formula to draw the graph. Here we use the general format y=mx + b (sometimes written y=mx + c). b tells us where the graph crosses the y axis. That gives us our first point for the graph. m is the slope. We can use the slope to find the rise over run. For a slope of 2/3 we go up 2 on the y axis and over 3 on... Смотреть видео...

Labo Car Designer(3y+) - Laboカーデザイナー(3y+)

Labo Car Designer(3y+) is a great toy app for kids(3-5 years old) unleash their creativity by drawing their dream cars. [appstore]: All children have the same dream: build and driving their own cars. Labo Car Designer can make this dream come true. This app allows children to design(draw, customize and decorate) their own vehicles. - Features: 1. Free to draw vehicles; 2. Or follow tutorials to draw & color; 3. 10 colors, 25 creativity and interesting tutorial vehicles; 4. 14 exquisite tires, the size and spacing can be customized; 5. 27 beautiful stickers and lights; 6. Save vehicles to garage, unlimited; 7. 15 fun-filled physical roads to explore, 4 weather modes, free to switch; - About Labo Lado: We are a small team... Смотреть видео...

Gauss Elimination Method 2x+2y+4z=18 X+3y+2z=13 3x+y+3z=14

Numerical linear algebra Gauss siedel iteration 27x+6y-z=85 6x+15y+2z=72 x+y+54z=110- Gauss jordan elimination x+3y+z=10 x-2y-z=-6 2x+y+2z=10 - Gauss jordan elimination method 6x-y+z=13 x+y+z=9 10x+y-z=19 - Gauss jordan elimination method 10x+y+z=12 2x+10y+z=13 x+y+5z=7 - Gauss jordan elimination method x+y+z=9 2x-3y+4z=13 3x+4y+5z=40 - Gauss jordan elimination method x-2y=-4 -5y+z=-9 4x-3z=-10 - Gauss jordan elimination method 10x+y+z=12 x+10y-z=10 x-2y+10z=9 - Gauss Jordan Elimination Method x+y-z=7 x-y+2z=3 2x+y+z=9 - Elimination Method 2x+2y-z=2 x-3y+z=-28 -x+y=14 - Gauss Elimination Method x+y+z=4 x-y+z=0 2x+y+z=5 - Gauss elimination method x+4y-z=-5 x+y-6z=-12 3x-y-z=4 - Gauss Elimination Method x-y+2z=3 x+2y+3z=5... Смотреть видео...

Проблемы с генератором. 3Y-EU/ Toyota Lite Ace 1993г.

Начала подмигивать панель приборов, загорались все чеки, потом тухли. Крайний раз 50 км чапал домой на АКБ. Снял генератор, щётки приказали долго жить. Купил щеткодержатель BH-ND10,mobiletron. Обошёлся в 460 рябчиков. Поменял, полёт нормальный. Перед тем,как лезть в проводку,отсоедините клеммы с АКБ. В гараже решил пошевелить фишку к генератору,мож из-за неё ток не шёл. А там проводок розовый,что с генератора идёт на плюсовую клемму тёрся и со временем протерся сбоку. Пошевелил фишку,мать её... Щёлк! И коротыш. Предохранитель dome на 7.5 А перегорел и датчик температуры на панели вправо до талого при включении зажигания. Автобус заводится, поворотники,свет,магнитола работают. Генератор тоже работает,при запуске двигателя чеки тухнут.... Смотреть видео...

Higher Order Constant Coefficient Differential Equations: Y'''+y'=0 And Y''''-3y'''+3y''-y'=0

MY DIFFERENTIAL EQUATIONS PLAYLIST: ► Open Source (i.e free) ODE Textbook: ► In the previous videos in our ODE playlist we have seen how to solve constant coefficient homogeneous second order differential equations like y''+2y'+y=0. We saw how there were three options, distinct real roots, repeated real roots, and complex pairs to the characteristic aka auxiliary equation. The same basic idea applies for higher order differential equations as well, its just that we have more roots but they are all the same possibilities. 0:00 Intro 1:00 Example 1 6:40 Example 2 OTHER COURSE PLAYLISTS: ►DISCRETE MATH: ►LINEAR ALGEBRA: ►CALCULUS I: ► CALCULUS II: ►MULTIVARIABLE CALCULUS (Calc III): ►VECTOR CALCULUS (Calc IV) ►LAPLACE TRANSFORM:... Смотреть видео...

3Y Yez Yez Yo - To Ona Bogini Sexu (ImmortalBeats Remix) || OFFICIAL VIDEO

🔥 Yez Yez Yo powraca na polską sceną reedycją kultowego kawałka ,,To ona - Bogini sexu’’, który po ponad 10 latach doczekał się teledysku. Nowa wersja ,,Bogini sexu’’ to projekt założyciela Yez Yez Yo Żółwia i producenta ImmortalBeats. Kawałek znajdzie się na płycie Yez Yez Yo ,,Supernova'', którą już teraz można zamówić w preorderze na stronie www.3ygunlabel.com/sklep Zamówienia na preorder przyjmujemy do 31.09, wysyłka płyt w pierwszym tygodniu października ✌ ✔ Oficjalny kanał wytwórni 3Y GUN LABEL www.3ygunlabel.com 🎵 Informacje o utworze: ▶ Remix kultowego utworu z płyty "Supernova" ▶ Produkcja - ImmortalBeats ▶ Realizacja, mix i mastering: Studio nagraniowe Y Records Studio Główny patronat medialny: RAP NEWS Strona - FB -... Смотреть видео...

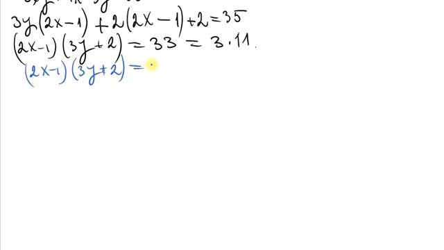
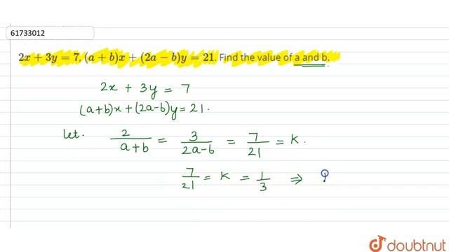
(2x + 3y)^(5) का प्रसार ज्ञात कीजिए । | 11 | द्विपद प्रमेय | MATHS | SHIVLAAL PUBLICATION | Do...

(2x + 3y)^(5) का प्रसार ज्ञात कीजिए । Class: 11 Subject: MATHS Chapter: द्विपद प्रमेय Board:Madhya Pradesh Board You can ask any doubt from class 6-12, JEE, NEET, Teaching, SSC, Defense and Banking exam on Doubtnut App or You can Whatsapp us at - 8400400400 Link - Join our courses to improve your performance and Clear your concepts from basic for Class 6-12 School and Competitive exams (JEE/NEET) - Contact Us: ? Have Any Query? Ask Us. ? Call: 01247158250 ? WhatsApp: 8400400400 ? Email: info@doubtnut.com ? Website: Welcome to Doubtnut. Doubtnut is World’s Biggest Platform for Video Solutions of Physics, Chemistry, Maths and Biology Doubts with over 5 million+ Video Solutions. Doubtnut is a Q&A App for Maths, Physics, Chemistry... Смотреть видео...

Снятие и установка термостата на Toyota Lite Ace. Кузов YR30. Двигатель 3Y-EU

УВАЖАЕМЫЕ БАСОВОДЫ,УБЕДИТЕЛЬНАЯ ПРОСЬБА ПРИ ПРОСМОТРЕ ДАННОГО РОЛИКА УБРАТЬ ОТ ЭКРАНА ДЕТЕЙ ВВИДУ НАЛИЧИЯ МНОЖЕСТВА"РОДНЫХ" СЛОВ!!! После капиталки движка начала стрелка температуры переваливать середину,но до красной зоны не доходила. Начал грешить на радиатор. Снял ,промыл на всякий случай. Шняги было мало.Стрелки перевелись на термостат. Хотя поставил новый на 88 градусов,брал у проверенного продавца.Проверить поленился. Снял этого гада,закинул в кипяток-реакции ноль. Приобрел новый .По нашему каталогу идёт на 82 градуса. Термостат-MASUMA . Маркировка-WV 488-82. Каталожный номер-90916-03046. Когда снимал и ставил из культурного было в и на. Заготовки большие,подлазить неудобно. Туда бы женские ручки...Стоит под ГУРом.Крепится на двух... Смотреть видео...