Cocktail Creations - видео - все видео
Новые видео из канала RuTube на сегодня - 22 April 2026 г.
Новые видео из канала RuTube на сегодня - 22 April 2026 г.
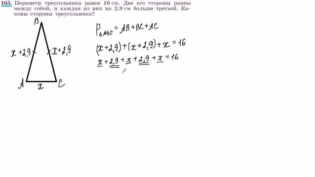
Вопросы возникают в нашем сознании, и мы не знаем и не понимаем почему происходит то что происходит. Порой, мы получаем ответы из толкования карт Таро или как их то других аспектов эзотерики. Я Елена Радуга, практик эзотерик с многолетним опытом, хочу сделать вашу жизнь лучше. Расклад карт Таро, составление Вашей матрицы судьбы, толкование. Вы хотите личный расклад? У вас есть вопрос что Вас ждет? Пишите мне лично Телеграм - https://t.me/Radena8 Ватсап - https://wa.me/qr/Q7C564Q7A4UPL1 ВК - https://vk.com/elena_raduga_vs Мой инстаграм про свадьбы в Доминикане - https://www.instagram.com/elenaraduga.dr/ Мой блог в ТГ по недвижимости - https://t.me/e_raduga_dom_home Мой Инстаграм по недвижимости в Доминикане - https://www.instagram.com/elenaraduga.dom.home/Прогноз на матчи чемпионата Испании Сельта - Вильярреал Хетафе - Реал Мадрид Наша группа ВКонтакте https://vk.com/prognozyd1mas1k28rus Наш телеграм канал https://t.me/d1mas1k28rus Наша группа в одноклассниках https://ok.ru/d1mas1k28rus По всем вопросам писать сюда: d1mas28rus@yandex.ru #сельтавильярреал #хетафереалмадрид #laligaСегодня на обзоре большой автобус Рижского завода семейства РАФ - РАФ-976! Данная модель у меня доработаная. Всем приятного просмотра! . #моделизм #раф976 #раф #автобус #нашиавтобусы #модимио #1_43масштаб #collection #выпуск22#Ставкинаспорт#Баскетбол#НБА Прогноз на матч НБА 12/5/23 Филадельфия - Бостон. Яндекс деньги. На развитие канала https://money.yandex.ru/to/4100177801... Мой facebook https://www.facebook.com/dimitrios.ka... Мой вконтакте https://vk.com/id1552657 Ставки на спорт Прогнозы на спорт Ставки на баскетбол Прогнозы на баскетбол Прогнозы и ставки на баскетбол Прогнозы на сегодня прогнозы на НБА бесплатные прогнозы Анализ матчей НБА Филадельфия - Бостон Ставки на матч Филадельфия - Бостон Прогнозы на матч Филадельфия - Бостон матч Филадельфия - Бостон.Про жизнь Волосы и волосики. Экскурсия вглубь организма Что такое волосики и где они находятся Про еду Чай улун. Глаз дракона Настоящий китайский. Как правильно заварить чай улун Про медицину Гиперпаратиреоз. Отчего кости становятся хрупкими Пробирает до костей. Почему кости становятся хрупкими? Про дом Тепло в доме. Как согреться и сэкономить Как греть себя, а не воздух? Можно ли сэкономить на тепле зимойالاحتفال بمناسبة يوم الطاقة النووية في انشاء المفاعل النووي المصري الروسي بمنطقة الضبعة محافظة مرسى مطروح. مرحباً بشركة روسأتوم على أرض مصر الحبيبة تم بحمد الله الانتهاء من أكثر من 50% من البنية التحتية للمشروع وسيبدأ المشروع في انتاج الطاقة الكهربائية الخضراء والغير ملوثة للبيئة باذن الله في عام 2031 С днём энергетика в ЕгипетПоддержать канал данатом - https://www.donationalerts.com/r/nhl_online1 СМОТРИ ПРЯМЫЕ ТРАНСЛЯЦИИ НХЛ В ГРУППЕ ВК: https://vk.com/nhlonline1 МАТЧИ НХЛ В ЗАПИСИ - https://vk.com/nhl_full_match #НХЛОБЗОР#НХЛ2025#ХОККЕЙАлгебра, Макарычев, 7 класс, №165 решение с подробным объяснением, решение задач с помощью уравнения#иврит_им_леонид #иил_видео #иил_шутки #иил_шорты #иврит #израиль Кто не даёт молоку поиграть в футбол? Слушаем и разбираемся. ----------------------- 📩Отзывы, вопросы, комментарии и пожелания отправляйте мне на мэйл: ivritimleonid@gmail.com ----------------------- Подписывайтесь на наши Telegram каналы: Ⓜ️Иврит Им Леонид https://t.me/ivritimleonid Ⓜ️Иврит Им Леонид: Сленг и Жаргон https://t.me/ivrit_sleng ----------------------- 🅾@Instagram: Иврит Им Леонид https://www.instagram.com/ivritimleonid/ ----------------------- 📺YouTube Канал: Иврит Им Леонид https://www.youtube.com/@ivritimleonid ----------------------- 🅵🅑Группа в Фейсбуке: Иврит Им Леонид https://www.facebook.com/ivritimleonid ----------------------- ☎️Для заказа индивидуальных уроков, звоните мне на +972-542112628 -----------------------6 сынып Математика 2 бөлім оқулығындағы есептердің шығарылуы --------------------------------------------------------------------------------------------------------------------------- Бәріне сәлем! Бүгінгі видеода мен 6 сыныптың Математика оқулығындағы "Шамалар арасындағы тәуелділіктердің графикпен берілуі" тақырыбы бойынша №1318-1320 есептертің шығарылуын көрсеттім Лайк басып, каналға тіркел! Сұрақтар болса комментарийге қалдыр, жауап беруге дайынмын.Тағы қандай есептер салайын жаза отырыңдар💰💰 Закинуть мемас на стрим: https://memealerts.com/663b933b73653fc1f2825f85 💰💰 Поддержка канала с оповещением DonatePay: https://donatepay.ru/don/fractos?amount=100 Twitch канал: https://www.twitch.tv/fractoss Discord: https://discord.gg/5PU5zbf Discord КВАС: https://discord.gg/jhNyEtDkn6Друзья. Давненько Ювентус не баловал нас трансферами топ-игроков. И вот в команду официально пришел Дуглас Луис. Но какой же это топ, спросите вы? Ведь он играл в скромной Астон Вилле, не хватая звезд с неба. Что ж, вопрос логичный. Именно поэтому я и решил детальнее изучить этого футболиста и понять, почему Кристиано Джунтоли без тени сомнения расстался ради него не только со значительной суммой, но и с двумя молодыми талантами. Топ или не топ Дуглас Луис? Давайте разберемся в этом вместе! ⚠️ Если вам понравилось это видео, вы можете поддержать проект на сервисах Donation Alerts или Boosty https://www.donationalerts.com/r/juveshow https://boosty.to/juveshow/donate Это очень важно и помогает проекту развиваться. Заранее спасибо! А для регулярного и интересного общения на разные темы подписывайтесь на канал ЮВШоу в Телеграм: https://t.me/juveshow У нас всегда теплая, ламповая атмосфера. 😊⚫️⚪️ #ювентус #дугласлуис #джунтоли #бразилия #астонвилла