Мистическое выражение - видео - все видео

Новые видео из канала RuTube на сегодня - 20 April 2026 г.

Мистическое выражение
  28.01.2025
Мистическое выражение
  28.01.2025
Мистическое выражение
  28.01.2025
Мистическое выражение
  26.01.2025
Мистическое выражение
  26.01.2025
Мистическое выражение
  26.01.2025
Мистическое выражение
  26.01.2025
Мистическое выражение
  26.01.2025
Мистическое выражение
  26.01.2025
Мистическое выражение
  26.01.2025
Мистическое выражение
  26.01.2025
Мистическое выражение
  26.01.2025
Мистическое выражение
  26.01.2025

Видео на тему: Мистическое выражение - видео


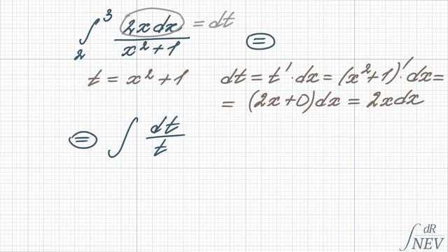
Как найти определенный интеграл от функции 2x / (x^2 + 1), если x изменяется от 2 до 3? Авторские Курсы Dr Nev https://drnev.com Бесплатные пособия ask@drnev.com #математика #высшаяматематика #интеграл#Shorts #математика #геометрия Репетитор по математике. Пишите в телеграм @zadachkis Дострой квадрат и вычисли размер полученных дуг. Заметь, что все углы опираются на одинаковые дуги. Вспомни свойство вписанных в окружность углов и вычисли значение углов.Matematica Generale per CLEII 2019-2020#Arpitmauryagkstudy gk in hindi short, gk in hindi short video, general knowledge in hindi short, gk facts in hindi short, gk quiz in hindi short, gk short tricks in hindi, gk short notes in hindi, gk gs short trick in hindigk short video, gk short, gk short trick, gk short question, gk short video channel, gk short question answer, gk short video , gk short video , gk short video #gk #gkinhindi India#shorts #math #математика #уравнение #уравнения #огэматематика #егэматематика #образование #пример #ошибки #егэбаза #егэпрофиль #решение #линейноеуравнение #лайфхак #квадратныеуравнения #теоремавиетаDon’t forget to hit that subscribe button to keep up to date with our latest stock. Just arrived at our dealership, this Approved Used Peugeot 3008 1.2 PureTech GT EAT, is now available for sale at Peugeot Chester. Key Features: 180 Degree Colour Reversing Camera Drive Assist Plus Pack Visibility Pack Parking Sensors For more information on this Approved Used vehicle, please see: https://www.swanswaygarages.com/peugeot/used-cars/ For more information contact us directly on 01244 883 079 or check out similar stock on our website at https://www.swanswaygarages.com/used-cars/chester/ #peugeot3008 #3008 #peugeotKombinatorika tezkor va bepul kursi ushbu kursda masalalar ishlash orqali kombinatorikani o'rganishingiz mumkun bo'ladi. Diqqat Ushbu kursdagi masalalar telegram tarmog'idan olindi va muallifga minnatdorchilik bildiramiz. Mualliflik huquqiga amal qilgan holatda masalalarni ishlab boramiz. Kursdagi masalalarni ishlash jarayoni sizga ma'qul bo'lsa bizga ko'mak berishingiz mumkun: buning uchun izoh va layk hamda obuna tugmachalarini bosing. Bundan tashqari ham videodarslarimiz mavjud: Ushbu turkum darslarimiz barcha o’quvchilar va abiturientlar hamda o’qituvchilarga mo’ljallangan. Agar darslarimizdan foyda topsangiz bizni kuzaishda davom eting va ijtimoiy tarmoqlardagi sahifalaringizga podelitsa qilishni unutmang. Darslarimiz pleylisti bilan tanishib chiqish va foydalanish uchun ko’k yozuv ustiga bosing • 7 sinf algebra tenglamalar sistemasi ... • 6 sinf matematika fazoviy jismlarning... • 8 sinf algebra 359-mashq yechimlariДостойное авг с отвратительным началомОбъясняю решение задания №13 из сборника Ященко 2023, вариант 29 Узнать подробнее о занятиях со мной: https://t.me/help_me_olga#Onlineclasses_CL_9676578793 #Chandan_Logics_newbatches #Chandan_Logics 🔴 SSC CHSL 2024 ( T-I & T-II) COMPLETE COURSE SEPARATE ENGLISH & TELUGU MEDIUM CLASSES : https://app.chandanlogics.com/new-courses/6 🔴 SSC EXAMS SPECIAL (PRELIMS+MAINS) COMPLETE COURSE | ENGLISH MEDIUM & BILINGUAL : https://chandanlogics.classx.co.in/new-courses/49 🔴 BANK+SSC+RRB COMBO PACK (PRELIMS+MAINS) COURSE | ENGLISH MEDIUM & BILINGUAL BATCH : https://chandanlogics.classx.co.in/new-courses/24 🔴 ARITHMETIC | REASONING | ADVANCE MATHS | FOR ALL COMPETITIVE EXAMS | ZERO TO HERO BATCH : https://chandanlogics.classx.co.in/new-courses/30 🔴 BANK MAHA PACK (PRELIMS+MAINS) COMPLETE COURSE ENGLISH MEDIUM & BILINGUAL : https://chandanlogics.classx.co.in/new-courses/53 🔴 RAILWAY TARGET BATCH ( RRB ) NTPC & GROUP-D COMPLETE COURSE (CBT-1+CBT-2)| BILINGUAL & ENGLISH : https://chandanlogics.classx.co.in/new-courses/51 🔴 APPSC COMBO BATCH (APPSC GROUP -2,3,4,AP SI & CONSTABLE & OTHER APPSC EXAMS) : https://chandanlogics.classx.co.in/new-courses/142 🔴 TELANGANA COMBO BATCH (TSPSC GROUP -2,3,4,TS SI & CONSTABLE, DAO& OTHER TSPSC EXAMS) : https://chandanlogics.classx.co.in/new-courses/143 🔴RRB TECHNICIAN ( GRADE -I AND GRADE -III) SPECIAL BATCH ENGLISH MEDIUM & TELUGU MEDIUM CLASSES : https://app.chandanlogics.com/new-courses/254 🔴RAILWAY - RRB ALP or TECHNICIAN CBT-1 SPECIAL BATCH ENGLISH MEDIUM & TELUGU MEDIUM CLASSES : https://app.chandanlogics.com/new-courses/246 🔴RAILWAY - RRB ALP or TECHNICIAN CBT-1 & CBT-2 SPECIAL BATCH ENGLISH MEDIUM & TELUGU MEDIUM CLASSES : https://app.chandanlogics.com/new-courses/242 👉SEPARATE ENGLISH MEDIUM & TELUGU MEDIUM BATCHES FOR ALL COMPETITIVE EXAMS FOR MORE DETAILS CONTACT: 📞9676578793 📞9494558793 👩🏫 Chandan Logics APP Link:👇👇 For ANDROID Users https://bit.ly/358F6GN For IOS Users https://apps.apple.com/in/app/chandan-logics/id6451108468 👉SEPARATE ENGLISH MEDIUM & TELUGU MEDIUM BATCHES FOR 🔴BANK🔴SSC🔴RAILWAY🔴AFCAT🔴POLICE🔴DEFENCE🔴CSAT🔴CRT 🔴GROUPS & OTHER EXAMS FOR MORE DETAILS CONTACT 📞9676578793 📞9494558793 💥💥💥💥 YOUTUBE CHANNEL LINKS 💥💥💥💥 ▶️Chandan Logics English Link👇 https://bit.ly/3gnL5wC ▶️ Chandan Logics Telugu Link👇 https://bit.ly/34Zxre7 💥💥💥DOWNLOAD FREE PDF 👇👇 🔴🔴 TELEGRAM LINKS 🔴🔴 ✅Chandan Logics English Link👇 https://t.me/chandanlogics01 ✅Chandan Logics Telugu Link👇 https://t.me/ChandanLogics 📍📍📍📍📍📍📍📍📍📍📍📍📍📍 📌FACEBOOK LINK👇👇 https://www.facebook.com/ChandanLogics/ 📌INSTAGRAM LINK👇👇 https://www.instagram.com/chandan_logics/ 📌Chandan Logics WhatsApp channel LINK👇👇 https://whatsapp.com/channel/0029Va53N0GHwXbEsZNpqo0c 🔴LIVE🔴 MATHS MOCK PAPER EXPLANATION WITH SHORT TRICKS | SSC (CGL, CHSL, MTS, STENO), RAILWAY ( RRB ALP, TECHNICIAN) EXAMS #MathsClasses #ArithmeticPracticeSet #ChandanLogics #ChandanLogicsTelugu #SSCCHSL #Maths #CHSLMathPracticeSet #SSCCHSL2023MathsPYQ #SSCCHSL2024Maths #SSCCHSL2024MathsSyllabus #SSCCHSLMathPracticeSet #SSCCHSLMathPreviousYearQuestionPaper #SSCCHSLMaths #SSCCHSLMathsClasses #SSCCHSLMathsClasses2024 #SSCCHSLMathsPracticeSet #SSCCHSLMathsPreviousYearQuestionPaper #SSCCHSLMathsSyllabus2024 #SSCCHSLPreviousYearQuestionPaperSLClasses2024 #SSCCHSLPreparation2024 #SSCGDReasoning #SSCGDPracticeSet #chandansir #ArithmeticForSSCCGL #ArithmeticForSSC #ArithmeticForSSCCHSL #ArithmeticForSSCGD #ArithmeticForSSCCG2024 #ArithmeticForSSCExam #ArithmeticForSSCMTS #ArithmeticForSSCHSL2024 #ArithmeticForSSCByChandanSir #ArithmeticMathsForSSCCGL #ArithmeticRevisionForSSC #CompleteArithmeticForSSCCGL #ArithmeticProgressionForSSCCGL #ArithmeticSyllabusForSSCCGL #SSCMathsClasses #SSCMaths #SSCMathsTricks #SSCMathsPreparation #SSCMathsPaperSolution2024 #SSCMathsChandanLogics #SSCMathsPlaylist #SSCMathsPreviousYearQuestion #SSCMathsStrategy #SSCMathsClassesPlaylist #RailwayMathsClasses #RailwayMaths #RailwayMathsPreviousYearQuestionPapers #RailwayMathsMockPaper #RailwayMathsByChandanSir #RailwayMathsPracticeSet #RailwayMathsChandanLogics #RailwayMathsQuestions #RailwayMathsPlaylist #RailwayMathsInTelugu #RailwayMathsClassesTelugu #RailwayMathsClassesPlaylist #RailwayMathsEnglish #SSCGDMathQuestion #SSCGDConstableMaths #SSCGDConstableMathClass #MathsTricks #SSCMaths #SSCMathClass #SSCMathPracticeSet #RRBMaths #RRBMathClass #RailwayMathClass #Arithmetic #SSCArithmetic #ArithmeticForSSCCGL #ArithmeticForSSCCHSL #ArithmeticForSSCGD #ArithmeticClasses #ArithmeticClassesInTelugu #ArithmeticClassesInEnglish #ArithmeticPlaylist #ArithmeticMockTest #ChandanLogics #ArithmeticByChandanSir #ArithmeticChandanLogicsMona Hussein Design House FF&E and Mahally can fully furnish or renovate various units' types Products from any supplier, Mahally products or custom product designFor Class 6 to 12 Complete Course ,Free Notes/MCQ , Assignment कक्षा 9 से 12 वी, सम्पूर्ण हल हिन्दी/English माध्यम निम्न प्रकार उपलब्ध है:-(Class 9 to 12th, 100% Solution, Hindi/English Medium, Available as Follows) Online Package की उपलब्धता : To download our Teach Tech app from play store Click here : https://1lzl.short.gy/waO1uA To download Practice Question Paper https://1drv.ms/b/s!AivYntnPu4zw1jaI9s0h9ib4N8z8?e=s3qlrt Offline Package की उपलब्धता : SD Card – Android मोबाइल/ Tab के लिए Pendrive – कंप्यूटर/ लेपटॉप के लिए For more Details Contact us: www.teachtech.in/ Cell: 7879334333, 9907035018🎁 Скидка на обучение в Skillbox: https://go.acstat.com/fa15832a61e25af0 📊 Разбор игры с Эвертоном в АПЛ (первые 20 мин): https://youtu.be/f57TlZxv_xk 🎙 Подкаст с Денисом Казанским: https://youtu.be/_o9kuV2Al0U Кошмарная оборона и реализация в первом тайме оставляет Юнайтед позади на Олд Траффорд. Обсуждаем матч в #ЛЧ и делимся мнениями💬 Присоединяйтесь к нам: Fantasy: https://fantasy.premierleague.com/leagues/auto-join/myijic  Подкаст "Дождливый Манчестер": https://anchor.fm/itisrainy Telegram: https://t.me/stretfordendrussia Социальные сети: https://twitter.com/StretfordEndRus https://www.facebook.com/StretfordEndRussia/ https://www.sports.ru/tribuna/blogs/stretfordendrussia/ https://www.instagram.com/stretfordendrus/   #StretfordEndRussia #ЛигаЧемпионов #МанчестерЮнайтедMain channel: http://YouTube.com/dom2k16 Twitch: https://www.twitch.tv/dom_2k Join the Discord!: https://discord.gg/dXahnsERBR Facebook: http://www.facebook.com/dom2k16 Twitter: http://www.twitter.com/dom_2k Instagram: http://www.instagram.com/dom_2k Snapchat: Dom_2k Here are my thoughts through the first couple of games in each series of the playoffs.If x^2+4x-9=0, x2+4x-9=0 then x= #math #mathematics #matric #math #mathematics #matric #maths #kpk #kpktextbook #textbooksolutions #textbook #textbookexplanation #textbooklearning #textbooksolution #textbookquestions #quadraticequation #quadraticequations #10thclass #10thclassmathsolution #mathsolution #mathsolve