Happy Thoughts - видео - все видео

Новые видео из канала RuTube на сегодня - 21 April 2026 г.

Happy Thoughts
  02.05.2024

Видео на тему: Happy Thoughts - видео


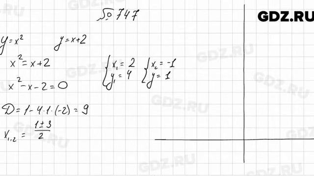
Видео решение к номеру 747 по алгебре за 8 класс, авторов А.Г. Мерзляк, В.Б. Полонский, М.С. Якир Более подробное гдз к этому заданию можно найти здесь https://gdz.ru/gdz/class-8/algebra/merzlyak/#task?t=747/УЗНАТЬ БОЛЬШЕ: http://andreymedonos.ru/ Наша группа Вконтекте http://vk.com/museumofhoney https://www.instagram.com/andreymedonos/Ricko talks about clutch springs and shows us how to change the spring on your primary while the clutch is still on the snowmobile. If you are nearly as passionate about snowmobile tuning as we are, we'd really appreciate a thumbs up or a subscription to the channel. Also, we're out here making these videos for the greater good of being part of a supportive sledding community. We like to engage with folks that have the same passion as us. Remember, these are purely opinions and you should always check with your manufacturer before trying this at home.iPhone 11 Pro Max o un Huawei P30 Pro. ¿Difícil decisión? Con este vídeo estoy seguro que estarás más seguro de cual de estos se adapta más a ti. ¡Dejame en los comentarios lo que piensas! 🖥 ❤️GRUPO DE FACEBOOK: http://bit.ly/2MB6CCH 📦Contacto: contactojosechtv@gmail.com ⚠️⚠️:REDES SOCIALES:⚠️⚠️ 👉🏽FaceBook: https://www.facebook.com/josechtvyt/ 👉🏽instagram: http://bit.ly/2PfKLp3 👉🏽Twitter: http://bit.ly/2dC8YUK 📺YouTub: http://bit.ly/2wzvkhM Hace unas horas te subí el vídeo de como fue mi experiencia al usar iPhone. Si no viste este vídeo, te lo estaré dejando en la descripción de este vídeo. Y debo de reconocer, las personas enloquecieron con este vídeo. Muchas personas se dejaron llevar por el título y asumieron que me cambie a iOS… Cosa que es imposible. Antes de empezar con esta comparativa, dejame te digo rápidamente porque no me cambiaría a iOS. Velocidad de carga Cortina de notificación Widgets Desbloqueo dactilar Un Notch más pequeño USB Tipo C Y todas estas funciones, son funciones que un P30 Pro y otros gama media - alta de Android traen. Pero regresando a la comparativa, hoy te muestro lo mejor de dos de las mejores marcas disponibles allá afuera. ¿Que, no podemos negar que Apple y Huawei son dos monstruos de la tecnología? Dentro del vídeo de hoy haremos un versus entre el iPhone 11 Pro Max y el Huawei P30 Pro. Nos enfocaremos en lo siguiente: Diseño Rendimiento Cámara (día y noche) Velocidad de carga (porque la autonomía es prácticamente igual, 7 horas de pantalla y más del día de uso) Precio Sponsor del vídeo Diseño El diseño de ambos equipos es bastante bueno. Me atrevo a decir que son dos de los smartphones más atractivos del mercado. Este Huawei P30 Pro en especial, un diseño que no se ve mucho en México. Muchos critican el diseño del 11 Pro Max, en lo personal me gusta. El diseño del Max es minimalista, pero por otro lado el diseño de P30 Pro es elegante y moderno. Este es el diseño que salió para combatir el Ban de Android, esta es otra historia. El diseño de este P30 Pro es de doble tono. Combinando Matte y un toque Glossy. Y en lo personal, en azul se ve increíble. Pero el “punto” del diseño es algo muy muy a tu propio criterio. Rendimiento El tema del rendimiento es un poco complicado. Considerando que iOS podría tener ventaja al tener un sistema más cerrado que deja que los desarrolladores se puedan concentrar en una menor cantidad de dispositivos para poder optimizarlas. Sin embargo, abriremos algunas aplicaciones al igual que correremos algunos benchmarks. Debo de mencionar que obviamente ambos equipos te darán un rendimiento de primera. Desde lo básico hasta lo pesado. La fluidez y el alto rendimiento será visto en todo momento y la experiencia es digna de ser de las mejores disponibles en el mercado.in this video i am going to show you How to check Google pixel 4 and also tell you how to check Google pixel 4xl every thing you must know when you buy google pixel from olx or Market must watch full video #googlepixel #googlepixel4 #googlepixel4xl #googlepixel3axl #googlepixel5 #googlepixel4a #googlepixel6 #googlepixel6a #howtochannelВ данном видео показываю личный результат, как Дамла капля концентрат от компании Ersag справляется с пятнами от шоколада и шариковой ручки. Дамла поможет Вам отмыть: - посуду от жира; - посуду от налёта чайной заварки и кофе; - вывести трудно выводимые пятна от фруктов, йода, зелёнки, крови, жевательной резинки, фломастеров, вина,шоколада,травы,шариковой ручки и др.; - автомобиль; - твёрдую и мягкую мебель; - зеркала и зеркальные поверхности; - отмыть пластик, акрил, мрамор, кафель и др.; - полы: ламинат, дерево, паркет, линолеум; - стены, обои; - вымыть овощи и фрукты; - комнатные растения и огородные культуры. Для быстрой связи со мной +380637721826 (вайбер, ватцап) По всем вопросам обращайтесь в телеграм https://t.me/yamit123 Чат с отзывами в телеграм: https://t.me/+4Ff4AXjlKxk2MWIy #Эрсаг #ersag #ерсагукраина #ersagua #дамлаконцентрат #ersagкиев #ersagэко #пятновыводитель #распаковка #бады #ЭКОПРОДУЦИЯ #баньйо #антижирэрсаг #антижир #damla #damlaersag #мыльныйорех #ерсагМожет ли быть изменена территориальная подсудность уголовного дела при наличии обстоятельств, ставящих под сомнение объективность и беспристрастность суда? Согласно части первой статьи тридцать пятой Уголовно-Процессуального Кодекса Российской Федерации, территориальная подсудность уголовного дела может быть изменена по ходатайству стороны - в случае, если имеются обстоятельства, которые могут поставить под сомнение объективность и беспристрастность суда при принятии решения по делу.Издательство 2K и студия Hangar 13 официально объявили о переносе выхода Mafia: Definitive Edition на четыре недели. Изначально релиз ремейка первой «Мафии» ожидался 28 августа, а теперь его перенесли на 25 сентября. https://donatepay.ru/don/380168 - ПОДДЕРЖАТЬ КАНАЛ앞에 있는 음식을 다 먹으면 안 된다? 한국의 한정식을 연상시키는, 수마트라 파당 지역의 대표 음식인 '나시 파당' 리뷰. ※ 영어, 스페인어, 포르투갈어, 터키어, 러시아어, 그리스어, 독일어, 프랑스어, 인도네시아어, 말레이시아어, 베트남어, 일본어, 중국어, 태국어, 아랍어, 힌디어 등 16개 언어의 자막이 추가적으로 제공됩니다. CC 버튼을 누르셔서 활성화하세요 - PC에서는 별 모양 '설정' 버튼을, 모바일에서는 'CC' 버튼을 누르시면 됩니다. #indonesia #indonesian #indonesianfood ○ 각국어 번역 자막 제작 : 컨텐츠 제작의 마무리는 컨텐츠플라이! 글로벌 진출을 위한 최고의 파트너, CONTENTSFLY에서 제작되었습니다. https://www.contentsfly.comМоё первое видео!!!Чем заняться летом на хуторе??Смотри и комментируй!!))#Chain#MOBA#Стрим#Stream#Mobile_legends_bang_bang#M1#M2#M3#MOBA #Мобла#Лега#Эпик#Миф 💙🔺ВСЕМ ПРИВЕТ🔻💙 🔥 РАД ВАС ВИДЕТЬ НА СВОЁМ КАНАЛЕ ❰ 𝐂𝐡𝐚𝐢𝐧 𝐌𝐋𝐁𝐁 ❱ 🔥 ┅┅┅┅┅┅┅┅┅┅┅┅┅┅┅┅┅┅┅┅┅┅┅┅┅┅┅ Немного о себе✨ : ┃👑Максим👑 ┃ ┃🥀25 лет🥀 ┃ ┃🌇Хабаровск🌇 ┃ ┅┅┅┅┅┅┅┅┅┅┅┅┅┅┅┅┅┅┅┅ ┃🎮ID Основного аккаунта🎮 - 601751381 ┃ 🎮ID Основного аккаунта🎮 - 830646558 ┅┅┅┅┅┅┅┅┅┅┅┅┅┅┅┅┅┅┅┅ Я всегда рад видеть старых друзей здесь и очень рад новым! ━━━━━━━━━━━━━━━━━━━━━━━━━━━━━━━━ ━━━━━━━━━━━━━━━━━━━━━━━━━━━━━━━━ ╏💰ПОДДЕРЖИ ЛЮБИМОГО СТРИМЕРА💰 : https://www.donationalerts.com/r/chain_mlbb ☑︎ Заказ твоей песни на стрим - 30руб ☑︎ ☑︎ Сыграю на твоем персонаже - 100руб ☑︎ ☑︎ Чекну аккаунт - 30руб ☑︎ ☑︎ Ворваться на 1 катку без моего приглашения - 50 руб ☑︎ ☑︎ Весь stream играем вместе - 300 руб ☑︎ ☑︎ Продлить стрим на час - 500руб ☑︎ ☑︎ Запустить трек из вк - 30 руб ☑︎ ☑︎•Stream 24ч - по договоренности со мной•☑︎ ☑︎При поддержке меня свыше 1к руб за стрим, можем сделать твою именную гифку и подобрать трек для постоянного отображения на моих стримах☑︎ ☞︎Также принимаю заказы на буст твоего аккаунта до мифа, думаю что смогу с этим справиться, за ценой в вк☜︎ ❗ВКОНТАКТЕ❗ https://vk.com/tvoymaks97 ❗Личная ссылка на канал❗https://www.youtube.com/@chain2101 ❗Instagram❗ 💎Discord server💎 : https://discord.gg/nuevxCyHdG 💎Telegram channel💎 : https://t.me/+i5XOpaaI-xEzM2Iy 💎Twitch channel💎: https://www.twitch.tv/chain25_22 Правила чата: Разрешено/актив. 1. Неадекватное поведение подписчиков, дать предупреждение ∆ максимум три от зависимости общения. 2. После трех предупреждений модератора мут на небольшое время. 3. Оскорбление родителей, расизм меж-национальностей. Исключить из чата стримера. 4. Распространение реклам внутреннего простора интернета (заблокировать). 5. Оскорбление модератора (1) предупреждение, после чего мут на длительное время. 6. Оскорбление стримера, оск-родни внешнего рода расизм мут/удалить из чата (крайний случай). 7. Оск-участников / подписчиков. Успокоить и выдать предупреждение двум дебоширам, в крайний случай мут на малое время. 8. Не принимать активное решение когда сам стример ведёт беседу с дебоширой, как только стример подаст знак (мут/бан (действуйте). 9. Соблюдайте порядок в чате стрима. 10. Не писРазрешено/актив. 1. Неадекватное поведение подписчиков, дать предупреждение ∆ максимум три от зависимости общения. 2. После трех предупреждений модератора мут на небольшое время. 3. Оскорбление родителей, расизм меж-национальностей. Исключить из чата стримера. 4. Распространение реклам внутреннего простора интернета (заблокировать). 5. Оскорбление модератора (1) предупреждение, после чего мут на длительное время. 6. Оскорбление стримера, оск-родни внешнего рода расизм мут/удалить из чата (крайний случай). 7. Оск-участников / подписчиков. Успокоить и выдать предупреждение двум дебоширам, в крайний случай мут на малое время. 8. Не принимать активное решение когда сам стример ведёт беседу с дебоширой, как только стример подаст знак (мут/бан (действуйте). 9. Соблюдайте порядок в чате стрима. 10. Не писать капсомать капсом Chain_MLBB - DonationAlerts www.donationalerts.co #Chai #MOBA #Стри #Strea #Mobile_legends_bang_ban #M #M #M #MOBA #Мобла#Лега#Эпик#МифПилотный эпизод новой рубрики, в которой мы говорим о ММОРПГ достойных вашего внимания. В видео ИСКЛЮЧИТЕЛЬНО моё мнение и сухие факты. Если ваше мнение отличается от моего, то об этом я с радостью почитаю в комментариях (но без хейта, ребятки). Если тебе понравился ролик, то не забудь подписаться! Приятного просмотра! ►Группа Вконтакте: https://vk.com/nottayeger ►Твитч: https://www.twitch.tv/nottayeger Музыка: ►https://www.youtube.com/watch?v=a8nwi... 00:00 - Введение 01:32 - Персонаж 05:38 - История 08:07 - Бой 09:58 - Мир 11:01 - Итоги #NOTTA #MMORPG #GuildWars2how to satting and calibration PMS63 pcb | PMS63 pcb mother bord ki satting aur calibration kaise kare | Hello Guys Please View My Channel | #katabazaartechnical This Is A My First Video Of YouTube Channel Please View Like Share And Subscribe If Any Other Products Questions Are There Call Me Vivek-7977197305 E-mail-, bazaarkata@gmail.com website.// netweightsales.com #technical#technicaljl#demon#stream#highli#ghts#dash#krmal #insane #geometry #krazyman #youtube #trending #love #studyКанал Убермаргинала ► https://www.youtube.com/channel/UCJ10M7ftQN7ylM6NaPiEB6w Twitch Убермаргинала ► https://twitch.tv/uebermarginal VK Убермаргинала ► https://vk.com/ueber_marginal Марципановый ликёр ► https://vk.com/public159626305Мой Инстаграмм-https://instagram.com/d_e_m_o_n__v__r_a_u_088?igshid=1x300upeqzzmuSamsung Galaxy S23 Plus - (disappointing) DROP TEST 🤯🔥 Galaxy S23+ drop test may disappoint you. On paper, Galaxy S23 series devices are some of the toughest non-rugged phones the company has ever created. Samsung has covered the outer shell of all three models with top-of-the-line materials, including an Armor Aluminum frame all around the devices, IP rating for water and dust resistance, Gorilla Glass Victus 2 protection on both the rear and back, and so on. Regrettably, despite being encased in the newest and sturdiest hardware, the Galaxy S23 Ultra failed to withstand a drop test from waist height administered. Although the previous belief was that the curved screen on the Galaxy S22 Ultra caused it to shatter upon impact, the flat glass on the Galaxy S23 Ultra did not yield a more favorable outcome. #s23 #s23ultra #samsunggalaxys23ultra #dotingtech Keywords galaxy s23,galaxy s23 ultra,samsung galaxy s23,samsung galaxy s23 ultra,s23,s23 ultra,samsung s23 ultra,samsung s23,s23 samsung galaxy,galaxy s23 plus,samsung galaxy s23 ultra 5g,galaxy s23 ultra unboxing,samsung galaxy s23 5g,samsung galaxy s23 ultra price,galaxy s23 ultra features,samsung galaxy s23 plus,s23 samsung,samsung galaxy s23 ultra unboxing,galaxy s23 unboxing,s23 plus,galaxy s23 leaks,galaxy s23 ultra specs,galaxy s23 review Music used: 'beatsbyNeVs-Ridin' https://youtu.be/bbtzvwKwql8 Fair use on YouTube Fair use is a legal doctrine that says you can reuse copyright-protected material under certain circumstances without getting permission from the copyright owner. Different countries have different rules about when it's OK to use material without the copyright owner's permission. For example, in the United States, works of commentary, criticism, research, teaching, or news reporting may be considered fair use. If you are unhappy of using clips then you can directly contact me before doing anything we will remove your clips Contact id: dotingcontact@gmail.com(Читает автор) Кладовщикова Светлана. Видеостихи. Стихи.