Религия и вера - видео - все видео

Новые видео из канала RuTube на сегодня - 21 April 2026 г.

Религия и вера
  02.05.2024
Религия и вера
  02.05.2024
Религия и вера
  02.05.2024
Религия и вера
  02.05.2024
Религия и вера
  02.05.2024
Религия и вера
  02.05.2024

Видео на тему: Религия и вера - видео


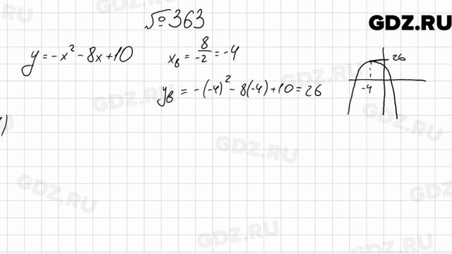
Испанский язык. Урок "Характер". Экспресс-курс "Испанский для ленивых" - это более 6 часов испанской речи, более 700 самых полезных слов и профессиональных иллюстраций к ним и 130 наиболее употребляемых речевых конструкций.(: Приветик, это моё видео с ёлкой. Я знаю что сегодня 1 января и суббота,но я не могу вас оставить без видео! :)Папич. А я все думал когда же ты появишься. ПЛЮС МОРАЛЬ папич,папич мемы,папич плюс мораль,плюс мораль,а я все думал когда же ты появишься,а я все думал когда же ты появишься папич,а я все думал когда же ты появишься плюс мораль,а я все думал когда же ты появишься папич плюс моральПодробная пошаговая сборка трехколесного электровелосипеда для взрослых на широких всесезонных колесах Трайк Байк Е20Ф8 (925) 7710912 - Tel., WhatsApp Визы в Германию. Шенген Германия. Как получить визу в Германию? Виза Германия. Как записаться для визы во Францию? Запись Испания. Виза в Италию. Как быстрее всего получить Шенген? На какой срок ставят визу французы? Виза в Грецию. Греческий Шенген. Испания визовый записаться. Германия ковидограничения. Шенген для россиян. Шенген как получить? Испания виза получить. Как оформить визу во Францию?Das Jahr geht zu Ende. Aber das geht natürlich gar nicht ohne vorher eure absolut wahnwitzigen Pakete aufzumachen! Und die verändern heute tatsächlich mein Leben... 😱🔥 Gewinnspielbedingungen: ---------------------------- Schreibe einen Kommentar mit dem "#HappyNewYear" unter dieses Video, um die Chance auf einen der im Video gezeigten LEGO-Preise zu bekommen! Teilnahmebedingungen: - Ende: Samstag, 06.01.2024, 13:59 Uhr - Nur eine Teilnahmechance pro Teilnehmer! Mehrfache Kommentare werden nur als einer gezählt :) - Auslosung: Vermutlich Sonntag in einem Video - Gewinnerkommentare werden beantwortet, Platz 1 wird angepinnt! - Die Teilnehmer erklären sich einverstanden, dass ihre Kommentare im Fall des Gewinns angepinnt bleiben und die YouTube-Nutzernamen ggf. für einen Beitrag/Video verwendet werden. - Gewinner werden 100% zufällig über die Website https://pickawinner.co ausgelost - Jeder Gewinner wird per Antwort auf seinen Kommentar kontaktiert, der Kontakt wird dann entweder per Instagram DM (falls vorhanden) oder per Mail weitergeführt! - Nach der Verlosung begibt sich der Gewinn per Post auf den Weg zum jeweiligen Gewinner und sollte innerhalb weniger Tage eintreffen! - Datenschutz: Daten und Adressen der Gewinner werden nicht an Dritte weitergegeben und bleiben nur für die Laufzeit dieses Gewinnspiels gespeichert! - Jugendschutz: Die Teilnahme an diesem Gewinnspiel ist ausschließlich (!) ab 14 Jahren erlaubt. Jüngere Personen wenden sich für die Teilnahme bitte an ihre Erziehungsberechtigten! - Dieses Gewinnspiel wurde von Lego weder gesponsert noch autorisiert! - Der Rechtsweg ist ausgeschlossen! Hilfreiche Links: ------------------------------------------------------------------- * Zum LEGO-Shop: https://click.linksynergy.com/deeplink?id=1BgPh5wy/Kk&mid=50641&murl=https%3A%2F%2Fwww.lego.com%2Fde-de * Lego auf Amazon: https://amzn.to/3lcKcL5 Mein Onlineshop: https://brixxyshop.com Die BESTEN Lego-Deals: https://l.linklyhq.com/l/nJrm * Links mit Sternchen sind Affiliate Links. Du zahlst nicht mehr, ich bekomme nur einen Teil des Kaufpreises ab, du unterstützt also so den Kanal ein wenig :) - Mehr Informationen hier: https://brixxyshop.com/affiliate-links/ Discord: https://discord.gg/jZ4FqxKqvm Kleinanzeigen: https://www.ebay-kleinanzeigen.de/s-bestandsliste.html?userId=40376563 Zeiten: 0:00 - Einleitung 2:04 - Grandiose Deals von Dante!! 13:36 - Absolute Nostalgie von OutdoorBricks1 18:54 - Wahnsinnige Magazin-Sammlung von BrickFunTime 23:34 - Mein glücklichster Einkauf 2023!! 28:30 - 3D-gedruckter Kindheitstraum von Robin!!! 36:20 - Überblick über den gesamten Haul Daten dieses Videos: ---------------------------------------- Kamera: iPhone X Mikrofon: Rode SmartLav+ * Lichter: Dazzne D50 (https://amzn.to/3uriygO) Schnittprogramm: Adobe Premiere Pro Schnittzeit: ca 3 Stunden Renderdauer: 4 Stunden #LEGO #LegoHaul #HappyNewYear#emanet #seher #yaman #emanetdizisi #legacyIn a G.P. the first term is 7 , the last term is 448 , and the sum is 889 . Find the common ratio. 📲PW App Link - https://bit.ly/YTAI_PWAP 🌐PW Website - https://www.pw.liveHow to check if the Text-To-Speech (TTS) engine installed on your phone is working correctly. SUBTITLES AVAILABLE IN VARIOUS LANGUAGES.Со следующего года размер базовой пенсии будет у всех разный, получить единоврЕменно свои накопления смогут не все, а женщинам придётся больше работать. Об этих и других изменениях в пенсионном законодательстве рассказали сегодня журналистам в областном филиале ЕНПФ. Подробности прямо сейчас.Играл в CS:S с нубом ну и решил кое-что попробовать. Видимо ему нужны очки и наушники,а лучше мозг. Подписывайся,Ставь Лайки! Не флудите в коментах,уважайте друг друга!Виагра ремикс стоп ✋#чакрыдиагностика #чакрыисцеление #чакрыболезни Чакры энергетические потоки и органы человека. Сеанс исследование энергетических потоков в чакрах и органы человека ведут слипер Татьяна и слипер Олег. Поток жизненной силы для людей https://youtu.be/c9EQlnnaKm8 сканирование астрального тела https://youtu.be/kYpP6x_TWJs замена ДНК и удаление сущностей https://youtu.be/rg_cXkvvGoE Чистка , сканирование астрального тела контакты WhatsApp, Telegram: слипер-контактер Татьяна +7929 579-71-11 гипнолог Виктор +7926 577-41-91 слипер- Олег (хирургия) +3737 906-40-08 - диагностика за символическую цену 3 тыс. рублей -чистка астрального тела, недвижимости, автотранспорта и -комплексная защита чистка бизнеса и его защита -помощь человеку в понимании и получении ответов на вопросы: для чего я здесь? куда мне идти Обучение гипнозу для начинающих https://youtu.be/Mf0XLYNxr1I Как научиться гипнозу https://youtu.be/zXo4nn1xY0Q общедоступная группа в Телеграмм "Вестник Создателя" https://t.me/+JxWW9TR-FaEzZTM6 здесь можете задать свои вопросы и поделиться своим мнениемПрофи всегдаВидео решение к номеру 363 по алгебре за 9 класс, авторов А.Г. Мерзляк, В.Б. Полонский, М.С. Якир Более подробное гдз к этому заданию можно найти здесь https://gdz.ru/gdz/class-9/algebra/merzlyak-polonskij/363/