Ink Insight - видео - все видео

Новые видео из канала RuTube на сегодня - 19 April 2026 г.

Ink Insight
  08.11.2023
Ink Insight
  08.11.2023

Видео на тему: Ink Insight - видео


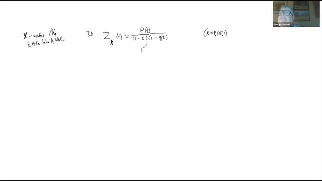
Лекция 9. Г.Б. Шабат. Введение в теорию дзета-функций 6 ноября 2020 г. 18:00, г. Москва, online на платформе Zoom Источник: http://www.mathnet.ru/present28014 Все видео курса: http://www.mathnet.ru/conf1824 https://www.youtube.com/playlist?list=PLUbD59ZHv1GTdc9L3rPByrLNpc6mf2dEBНашла копии брендов на АлиЭкспресс и заказала украшения и бижутерию известных люксовых компаний - CHANEL CELINE Alexander McQueen Cartier U.S. Polo Assn. Решила поделиться и сделать обзор на эти ювелирные изделия. Famous brand jewelry from AliExpress - fake but good quality duplicates of necklase, ring, earrings, braclet CHANEL CELINE Alexander McQueen Cartier U.S. Polo Assn. Calfskin Tweed chain Choker Ready to wear Chanel collection 2022-2023 costume jewelry. Cartier nail ring. Cartier love bracelet. Skull and pin earrings. U.S. Polo Assn. earring - https://www.bestsecret.com/product.htm?code=32259264-001&back_url=%2forder_details.htm&back_param_code=2085606085 McQueen earring - only store, item ended - https://www.aliexpress.com/store/5426128?spm=a2g0o.order_list.order_list_main.28.314b1802KGHpli Candy wrap earring - https://www.aliexpress.com/item/1005004598538072.html?spm=a2g0o.order_list.order_list_main.26.314b1802KGHpli Celine necklace - https://www.aliexpress.com/item/1005004448868739.html?spm=a2g0o.order_list.order_list_main.108.314b1802KGHpli Chanel choker - https://www.aliexpress.com/item/1005004908657908.html?spm=a2g0o.order_list.order_list_main.16.314b1802KGHpliПривет подписчики... в этом видео я разобрал такой вопрос как "Почему Пейн такой АФИГЕННЫЙ!?". Да, я уверен что многие фанаты вселенной Наруто любят этого персонажа но они и сами не знают почему. Поэтому, я решил сделать такой видос в котором я детально (но не очень), сделаю анализ этого персонажа. В данном видео я проанализировал Пейна Путь Тендо (Нагато) с точки зрения Дизайна, Способностей и Философии. Соболезную тем кто не понимают насколько этот персонаж хорош и харизматичен во вселенной Наруто. Не забудь подписаться на канал, написать комментарий и поставить лайк под этим роликом. Поддержать: https://www.donationalerts.com/r/hereticxiv 00:00 - Вступление (не пропускай) 00:27 - Крутая заставка... 01:02 - Предыстория Пейна 04:13 - Почему Пейн такой Афигенный? 04:25 - Внешний вид Пейна 06:33 - Способности Пейна 08:13 - Философия Пейна 11:23 - Итог #аниме #пейн #нарутоСовместно с @altavist записали реакт на интервью Марии Терезы https://www.youtube.com/watch?v=B9C-DYIPmxw&t=523sПервое видео с новым микрофоном Blue Yeti ——————————————————————————————— Подписаться на новые видео: https://www.youtube.com/channel/UCrkisdTYL4B1jj30CO09BOw?sub_confirmation=1 ——————————————————————————————— Предыдущее видео: https://youtu.be/jdJdUcwb5qc ——————————————————————————————— ❤Помочь в развитии канала: http://www.donationalerts.ru/r/timofey_nikolaev ——————————————————————————————— INSTAGRAM: https://www.instagram.com/timofey_nikolaev/?hl=ru ——————————————————————————————— TWITTER: https://twitter.com/timofeyasmr ——————————————————————————————— Реклама: timanikolaevv@gmail.com ——————————————————————————————— ОТВЕТЫ НА ЧАСТЫЕ ВОПРОСЫ: Какие фильмы/сериалы смотришь? Не смотрю Смотришь Аниме? Нет Играл в Майнкрафт, КС, Доту? Нет Есть девушка/парень? Нет Почему так редко улыбаешься? Не вижу причины. Как тебя зовут?-Тимофей Сколько ему лет? 16 лет Где ты живешь? Крым Какой у тебя телефон: Samsung Galaxy j3 2017 Есть домашние животные? Есть Какой у него рост,вес: 165см, 48кг Планируешь купить новый микрофон? Да, сейчас собираю на 3Dio.✨ Shop Now ✨ www.crystalheavenjewellery.com Use code 'YT10' for 10% off your order over £20. Follow us for new products and ear styling inspiration Instagram: www.instagram.com/crystalheavenjewellery Tiktok: www.tiktok.com/@crystalheavenjewellery Pinterest: www.pinterest.com/CRYSTALHEAVENJEWELLERY #piercings #piercinginspiration #piercingideas #curatedear #piercingjewelleryVideo of me getting pierced at RoyalInkgalleryМы на Яндекс Дзен -- https://zen.yandex.ru/id/5f32d9f8bfe39b218c5e6551 Сайт «Кольский край» -https://thekolaland.com/ Инстаграм- https://instagram.com/kolskiy_krai?ut... ВК- https://vk.com/kolskiy_kraiПо материалам авторского мастер-класса Яна Колесникова "Современная ЛИТ. Золотые стандарты и инновации" 6 апреля г. ЕкатеринбургПодробное описание здесь: http://www.alltime.ru/catalog/watch/fashion/just-cavalli/Lady/5665/detail.php?ID=103123Updated Video: http://www.youtube.com/watch?v=Kpy-WffeHkA&list=UUkQoBhPHxPufRkaq_BFyUnQ&index=15 This Video provides information about Frenulum/Tongue web Piercings, Including my personal Experience. I hope you found this Video Helpful. If you Have any questions feel free to ask me. Also my Videos are now Available in HD! MY LINKS! Tumblr: http://xxchlozaahxx.tumblr.com/ Twitter: https://twitter.com/xxchlozaahxx Instagram: http://instagram.com/xxchlozaahxxПочему клиент не чувствует то, что мастер сделал для него на сессии? На какой бы стадии вы, как мастер, ни находились бы, мне хочется вас поддерживать. Понимаете ли вы уже про свой дар или не понимаете, задача одна: продолжать его раскрывать и овладевать мастерством его использования. В этом видео я расскажу вам, почему бывают противоречивые отзывы. А также расскажу, как перестать считать, что ты недостаточно сделал, хотя выложился на все 100, однако результата нет. Мой канал про раскрытие дара "Нежное магическое" https://t.me/yanetta_love2 Там можно задавать вопросы.Женский гардероб выставили в пакете на выброс в Санкт-Петербурге Что выставляют у подъездов в новостройках Петербурга? Общество потребления - купили новое, выставили старое в надежде, что кто-то возьмёт себе... Вторая жизнь вполне приличных ещё вещей не всегда находит своего хозяина. Продаём на АВИТО! Вещи можно приобрести по ссылкам: https://www.avito.ru/user/1b0097a04ccfbbf2dd8bc0e1b635f7ac/profile https://www.avito.ru/user/01624b941bf1c73f01482c142b330f16/profile К сожалению не всё продаётся, что-то в плохом качестве выкидываем, что-то сдаём в благотворительные контейнеры, что-то уже продано, что-то ещё не выставлено (выставляем по сезонам) - если интересует что-то конкретное, спрашивайте в комментариях под роликом.Оригинал видео: https://www.youtube.com/watch?v=M3fxbN3cjDE Группа вк: https://vk.com/dolantwinsВам нужна помощь с голландским языком? Я могу Вам помочь: https://ariehelderman.com В этом видео мы говорим о русских и голландских женщинах. Конечно, сравнивать отдельных людей невозможно, поэтому я говорю об общих различиях. Приятного просмотра!))Привет! Сегодня предлагаю проверить можно ли жить на прожиточный минимум в Украине?0:00:19 Начало лекции, тема 0:00:48 Диаграмма температура - состав пироксенов 0:05:18 Минералы и миналы 0:12:34 Ромбические пироксены 0:24:52 Пижонит 0:40:36 Авгит и близкие клинопироксены 0:49:08 Магматические Na-Ca амфиболы Ссылка на плейлист: https://youtube.com/playlist?list=PLcsjsqLLSfNAz2Kft05C29O697HgBe8j8Компания Домосед занимается производством и продажей мягкой, корпусной мебели, а также мебели для кухни в Крыму. Наша компания является прямым поставщиком мебели многих Российских производителей с 2017 года. За это время мы обрели достойную репутацию, надежных партнеров, много отзывов от благодарных покупателей, которые часто становятся нашими постоянными клиентами. Нашими партнёрами являются крупнейшие фабрики Кубани и Пензы, которые располагают производственной базой последнего поколения, обеспечивая полный цикл изготовления мебели. Наш адрес: г. Севастополь, ул.Соловьева 12 https://mebeldomosed-sev.ru