Руководство к Совершенству - видео - все видео

Новые видео из канала RuTube на сегодня - 18 April 2026 г.

Руководство к Совершенству
  30.09.2023
Руководство к Совершенству
  30.09.2023
Руководство к Совершенству
  30.09.2023
Руководство к Совершенству
  30.09.2023
Руководство к Совершенству
  30.09.2023
Руководство к Совершенству
  30.09.2023
Руководство к Совершенству
  30.09.2023
Руководство к Совершенству
  30.09.2023
Руководство к Совершенству
  30.09.2023
Руководство к Совершенству
  30.09.2023
Руководство к Совершенству
  30.09.2023
Руководство к Совершенству
  30.09.2023
Руководство к Совершенству
  30.09.2023
Руководство к Совершенству
  30.09.2023

Видео на тему: Руководство к Совершенству - видео


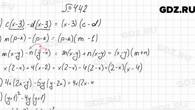
? Мой новый онлайн курс Профи Мастер 4в1 ? https://taplink.cc/tanushasi92/p/8341b9/ Подробнее о курсе : https://youtu.be/ZQj_sQ9lxiA ___ В этом видео поговорим о том почему может вздуваться гель лак. Как правильно просушивать гель лак. Расскажу вам в чем особенность выполнения маникюра беременным клиентам. Выполним чистый маникюр и новогодний дизайн ногтей. __ Материалы из видео: Шабер Silver star: https://www.wildberries.ru/catalog/20851425/detail.aspx?targetUrl=XS Ножницы Silver star: https://www.wildberries.ru/catalog/8501895/detail.aspx?targetUrl=XS Фреза для снятия: https://kmiz-online.ru/catalog/nogtevoy_servis/tverdosplavnye_frezy/freza_konus/4114/ Фреза для маникюра: https://kmiz-online.ru/catalog/nogtevoy_servis/almaznye_nasadki/plamya/4047/ База, цвет, акригель: https://bit.ly/mst_tanushasi92 Топ, кошачий глаз: https://moltini.pro ?Мои онлайн курсы можно посмотреть здесь : http://taplink.cc/tanushasi92 ? ? Мой instagram https://www.instagram.com/tanushasi92/?igshid=r1jqsez88yof ? VK https://vk.com/id230827159 ?Яндекс дзен https://zen.yandex.ru/tatiana_nail_sidorenko #ТатьянаСидоренко #Маникюр #дизайнногтей #ногти #гельМожно ли избежать тюрьмы просто изобразив кому? Пожалуй, это лучше спросить у человека по имени Алан Найт который долгое время просто симулировал кому Поддержка канала - https://www.patreon.com/amazingfactsvideo ПОДПИСЫВАЙТЕСЬ на познавательный канал Удивительные факты #Жизнь #Истории #Люди #Факты #УдивительныеФакты Чтобы поддержать канал Удивительные факты поставьте лайк и поделитесь видео с друзьями. Production Music courtesy of Epidemic Sound!Какое влияние на человека оказывает информация? Информация окружает нас от рождения и до самой смерти. Информация повсюду - в родительских словах, в школьном классе, в кинотеатре и конечно же в книгах. И мы привыкли к тому, что учитель в школе формирует наш мир, он расширяет его границы через новые знания и учит нас основам морали. Но что дальше? После того, как человек закончил школу и университет? Обучение прекращается? Нет, мы учимся всю жизнь. Наши привычки и образ жизни постоянно меняются, меняется и отношение к разным вещам и ситуациям. Но что на нас влияет в старшем возрасте? Откуда мы получаем эту информацию?In this video tutorial you will learn how to Check BIOS Version without Rebooting in Windows 10. BIOS is the abbreviation of Basic Input / Output System, which is also known as System BIOS or PC BIOS. BIOS performs hardware initialization during login process. Usually users check BIOS version by going to BIOS at Windows startup, but actually you can also find bios version information without rebooting your PC. There are several ways to get BIOS version from Windows System. Follow the steps shown below to Check BIOS Version in Windows 10: METHOD 1: 1. Click on Start Menu then type RUN 2. Now type regedit, then click on OK 3. Now go to below fields: HKEY_LOCAL_MACHINE == HARDWARE == DESCRIPTION == System == BIOS 4. At the right side you will find the Label as "BIOSVersion" METHOD 2: 1. Click on Start Menu then type cmd 2. Now type below command: wmic bios get smbiosbiosversion Now press Enter METHOD 3: 1. Click on Start Menu then type RUN 2. Now type msinfo32, then click on OK 3. Now you find the label as "BIOSVersion/Date" at the right side Watch the video here: https://www.youtube.com/watch?v=sWxnlq-LE0k #CheckBiosVersion #FindBiosVersion #GetBiosVersion Like our Facebook Page: https://www.facebook.com/DefiniteSolution/ Subscribe our Youtube Channel: https://www.youtube.com/user/DefiniteSolutionСегодня готовим блюдо из Зимнего опёнка! Фламмулина (лат. Flammulina velutipes) - это зимний гриб, который ещё не все знают, несмотря на то, что этот гриб очень полезный, лечебный и вкусный. Тем более у многих возникает вопрос, как же готовить этот гриб?Сегодня я покажу очень простой рецепт приготовления блюда "Радость в сметане" из зимнего опёнка. Рецепт настолько простой, что приготовить его сможет даже ребёнок! Грибоед - это тот, кто любит собирать грибы, знает грибные рецепты и для кого тихая охота приносит огромное наслаждение. Съедобный гриб всегда манит тысячи грибников, когда наступает грибная пора. Но на самом деле собирать это чудо природы можно практически в любое время года, так как их существует огромное множество и одни экземпляры вылазят уже ранней весной, а другие можно собрать поздней осенью и даже в зимнее время. На канале GRIBOED Вы узнаете о съедобных грибах, научитесь отличать их от ложных грибных двойников и познакомитесь с ядовитыми представителями. Вместе с Вами будем готовить грибные деликатесы и дегустировать их. И конечно же будем гулять по лесу в разные времена года, наслаждаясь природой! Моя почта svirstandrej@gmail.com Мои ссылки: https://www.facebook.com/svirstandrej https://twitter.com/gi6ShJV65U1gIBD?lang=ru https://vk.com/id515850445 https://m.ok.ru/dk?st.cmd=userProfile&tkn=8185&_prevCmd=userMain&_aid=leftMenuClickГруппа VK - https://vk.com/club155662343 Мой Шикимори - https://shikimori.one/Просто+Женя Музыка - Death Note OST 1 - 06 Senritsu Death Note OST 1 - 13 Tsuiseki#рекомендации #GachaLife #GachaClubРаботая в ночь всё равно есть желание перекусить . Для дружбы и коммерческих предложений я в ВКОНТАКТЕ Моя почта kornilov.dmitri.1243@mail.ru https://vk.com/id428903160 ПОМОЩЬ и поддержка канала ДОНАТ https://www.donationalerts.com/r/vahtovik ПОМОЩЬ и поддержка канала Sberbank:4276400064 255004 Да прибудет с вами сила ?️♂️! #жизньвахтовика# #заработатьденьги# #питаниенавахте#I'm here with a tutorial video something telling you how to do a dropkick after a tackle. It's kind of hard to do it even to learn it but if you get used to it used to the buttons and used to the range etc. it will be a lot more easier. It's all about how quick how you evade the tackle and how precise are you. Precision is the most important and the timing as well. I uploaded this tutorial because i think most of the players just do it and then wow how. I hope you will enjoy it and use it as well may save your life ;)Количество овощей и соль по вашему вкусу. Подробности смотрите видео. Приятного аппетита!Волшебные ребусы Головоломка, 340 000 участников *************************************************************** Плейлисты: https://www.youtube.com/playlist?list=PLjaAGa-MX0I3UA_p3yiMX29ZYu_0epYIv Гонка | Приложения | ВКонтакте https://www.youtube.com/playlist?list=PLjaAGa-MX0I1q-dG1ucYKR_asSngG9uGC Аркада | Приложения | ВКонтакте https://www.youtube.com/playlist?list=PLjaAGa-MX0I1P1HBjooHvqixGZcsWoxFd Настольная | Приложения | ВКонтакте https://www.youtube.com/playlist?list=PLjaAGa-MX0I1nlvzUMdL0kDcZqmOJzxEi 3D-шутер | Приложения | ВКонтакте https://www.youtube.com/playlist?list=PLjaAGa-MX0I0__-JGz7FIxMQ2EfEhoEFj Головоломка | Приложения | ВКонтакте https://www.youtube.com/playlist?list=PLjaAGa-MX0I3smzM0ThUf-xwf_w4PNSHT Экономическая | Приложения | ВКонтакте https://www.youtube.com/playlist?list=PLjaAGa-MX0I005qDXgQMH6DYmJS2P3kw0 Симулятор | Приложения | ВКонтакте https://www.youtube.com/playlist?list=PLjaAGa-MX0I1xPRnPz6RAZ1noQbkyjYHb Стратегия | Приложения | ВКонтакте https://www.youtube.com/playlist?list=PLjaAGa-MX0I3UlPn38JFEWs4wPghASNQ7 Азартные игры | Приложения | ВКонтакте https://www.youtube.com/playlist?list=PLjaAGa-MX0I2Nxzw0hZT65lOViorZM3RZ Приключения | Приложения | ВКонтакте https://www.youtube.com/playlist?list=PLjaAGa-MX0I2vA3u9eVbTxhY7MIAXuMRq Ролевая | Приложения | ВКонтакте *************************************************************** Отгадывай ребусы! Повышай свой уровень! Соревнуйся с друзьями! https://vk.com/my.rebusВидео решение к номеру 442 по алгебре за 7 класс, авторов А.Г. Мерзляк, В.Б. Полонский, М.С. Якир Более подробное гдз к этому заданию можно найти здесь http://gdz.ru/class-7/algebra/merzlyak-polonskij/#task?t=442-nom/Vk Кирилла: http://vk.com/id243937297 Vk Ромы: http://vk.com/id206989289Установка настила "слань-книга" на надувную лодку Аква Мания АМК-290